mp-760492/Na4PtO4/anharm

Harmonic properties

../../_images/fig_bandos_pr2909.png

(a) Phonon dispersion with participation ratio and DOS

../../_images/fig_thermo2909.png

(b) Thermodynamic properties

Grüneisen parameters

../../_images/fig_gru_all1426.png

(a) Grüneisen parameters

../../_images/fig_gruneisen1426.png

(b) Phonon dispersion with Grüneisen parameters

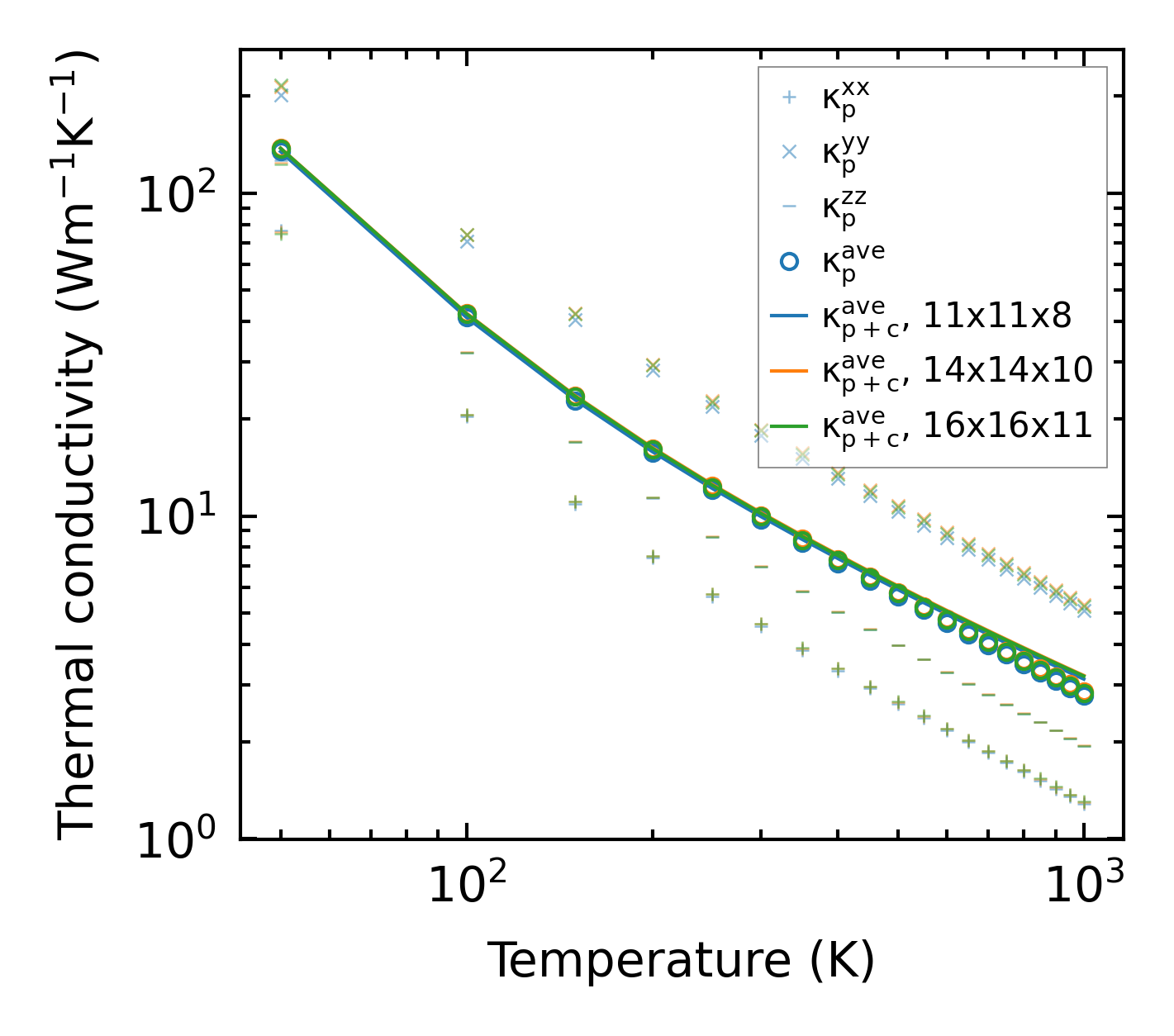
Thermal conductivity

3-phonon (LASSO) — q-mesh: 16x16x11, supercell: 1x4x2

../../_images/fig_kappa2754.png

(a) Temperature-dependent lattice thermal conductivity

../../_images/fig_kappa_vs_grain_size1442.png

(b) Peierls lattice thermal conductivity w.r.t grain size

Phonon lifetime and scattering rates

../../_images/fig_lifetime1416.png

(a) Phonon lifetime due to phonon-phonon scattering

../../_images/fig_scat_rates1415.png

(b) Phonon scattering rates

Cumulative and spectral thermal conductivity

../../_images/fig_cumu_frequency1416.png

(a) Spectral and cumulative thermal conductivity w.r.t frequency

../../_images/fig_cumu_mfp1416.png

(b) Spectral and cumulative thermal conductivity w.r.t MFP

Force constants

../../_images/fig_fc22729.png

(a) Force constants w.r.t atomic distance

Summary

../../_images/fig_kappa2755.png

(a) Temperature-dependent lattice thermal conductivity

../../_images/fig_times4917.png

(b) Computation time