mp-696949-2/Li3TeHO4/anharm

Equation of state

../../_images/fig_bm2447.png

(a) Equation of state

Harmonic properties

../../_images/fig_bandos_pr4934.png

(a) Phonon dispersion with participation ratio and DOS

../../_images/fig_bandos6891.png

(b) Phonon dispersion and DOS

../../_images/fig_thermo4934.png

(c) Thermodynamic properties

Grüneisen parameters

../../_images/fig_gru_all2101.png

(a) Grüneisen parameters

../../_images/fig_gruneisen2101.png

(b) Phonon dispersion with Grüneisen parameters

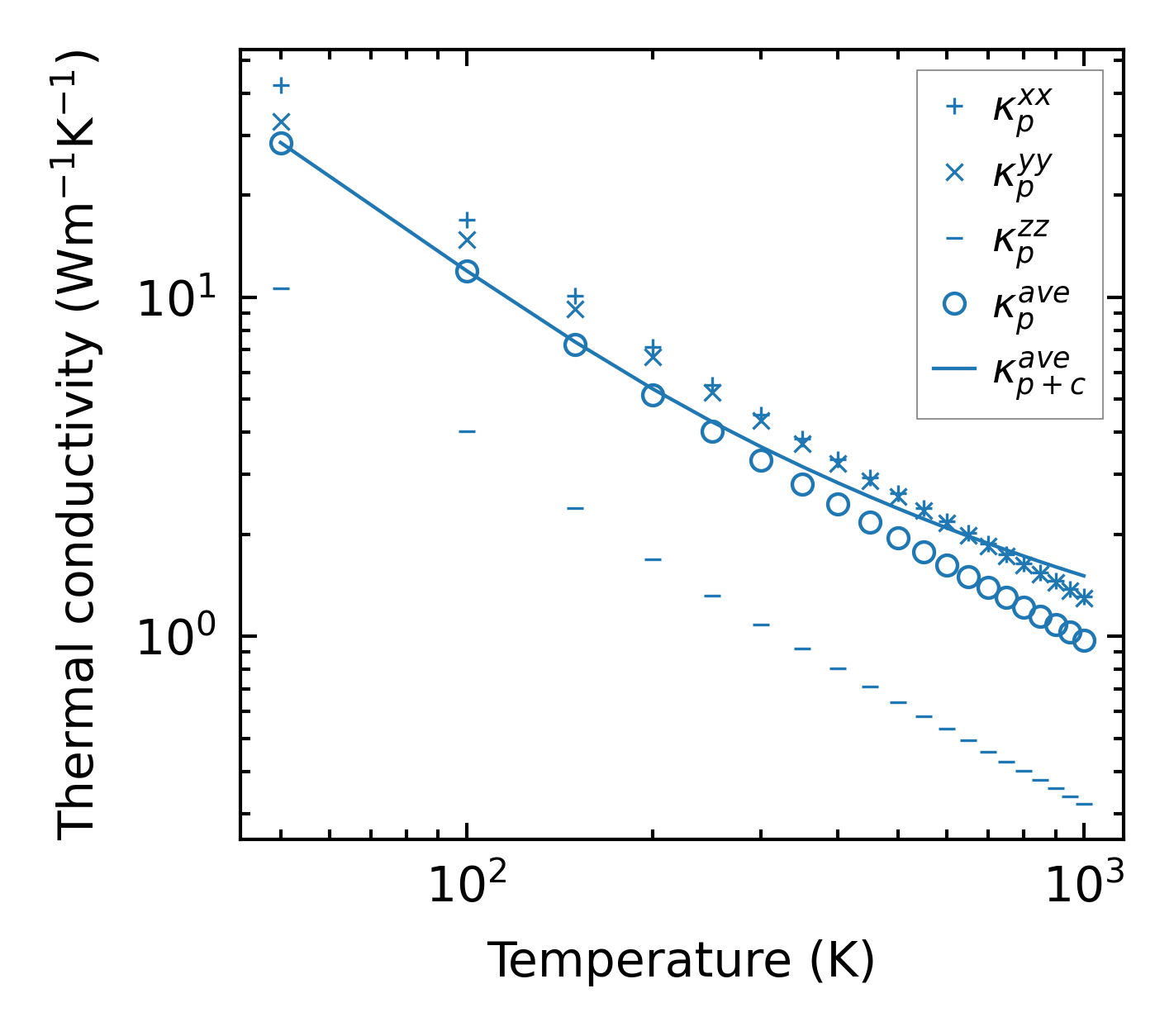
Thermal conductivity

3-phonon (LASSO), supercell 3x2x2 — q-mesh: 13x11x11, supercell: 3x2x2

../../_images/fig_kappa4031.png

(a) Temperature-dependent lattice thermal conductivity

../../_images/fig_kappa_vs_grain_size2133.png

(b) Peierls lattice thermal conductivity w.r.t grain size

Phonon lifetime and scattering rates

../../_images/fig_lifetime2088.png

(a) Phonon lifetime due to phonon-phonon scattering

../../_images/fig_scat_rates2087.png

(b) Phonon scattering rates

Cumulative and spectral thermal conductivity

../../_images/fig_cumu_frequency2088.png

(a) Spectral and cumulative thermal conductivity w.r.t frequency

../../_images/fig_cumu_mfp2088.png

(b) Spectral and cumulative thermal conductivity w.r.t MFP

Force constants

../../_images/fig_fc24743.png

(a) Force constants w.r.t atomic distance

Summary

../../_images/fig_times8757.png

(a) Computation time