mp-696683-2/K3SnHF8/harm

Equation of state

../../_images/fig_bm2433.png

(a) Equation of state

Harmonic properties

../../_images/fig_bandos_pr4911.png

(a) Phonon dispersion with participation ratio and DOS

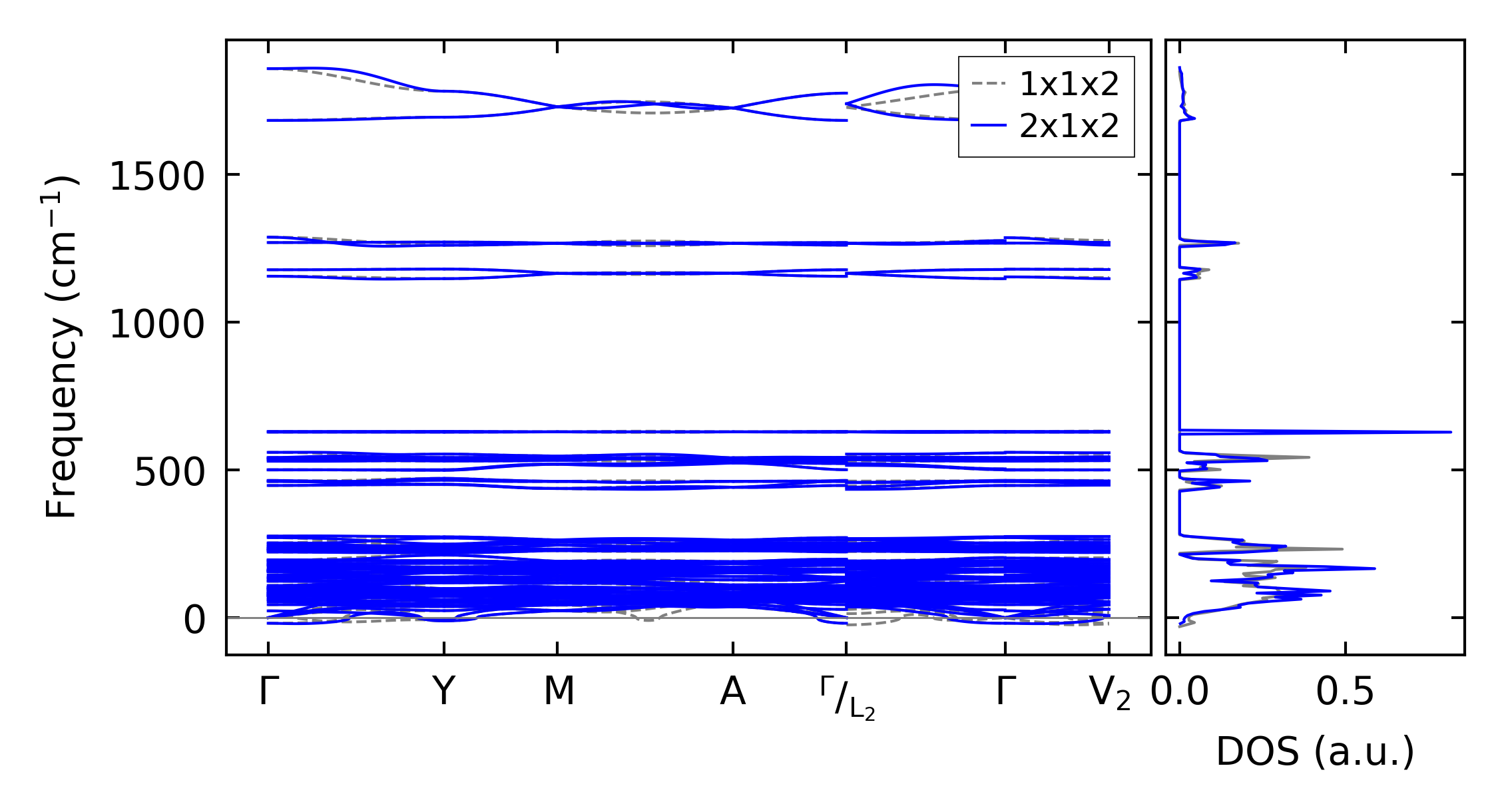
../../_images/fig_bandos6860.png

(b) Phonon dispersion and DOS

../../_images/fig_thermo4911.png

(c) Thermodynamic properties

Force constants

../../_images/fig_fc24720.png

(a) Force constants w.r.t atomic distance

Summary

../../_images/fig_times8721.png

(a) Computation time