mp-696746-2/B4C/anharm

Equation of state

../../_images/fig_bm2437.png

(a) Equation of state

Harmonic properties

../../_images/fig_bandos_pr4918.png

(a) Phonon dispersion with participation ratio and DOS

../../_images/fig_thermo4918.png

(b) Thermodynamic properties

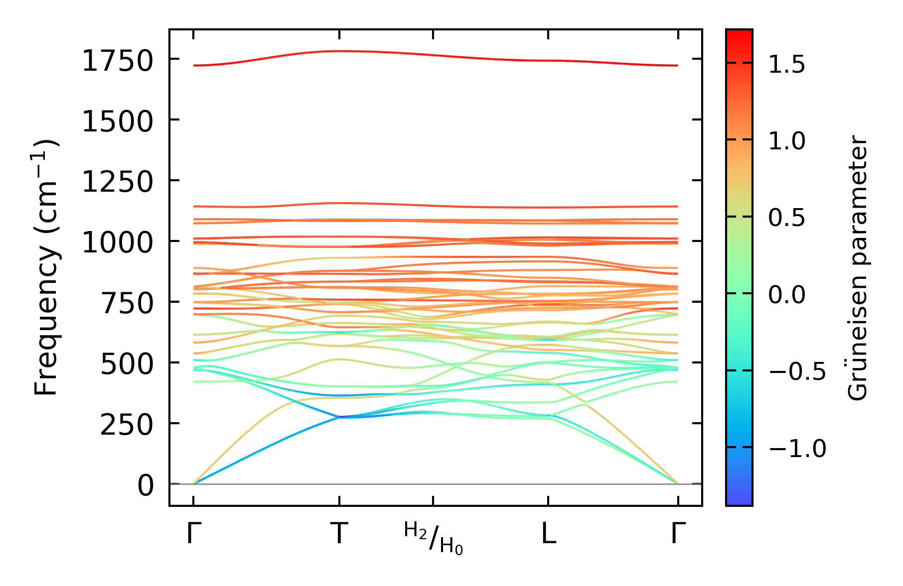
Grüneisen parameters

../../_images/fig_gru_all2097.png

(a) Grüneisen parameters

../../_images/fig_gruneisen2097.png

(b) Phonon dispersion with Grüneisen parameters

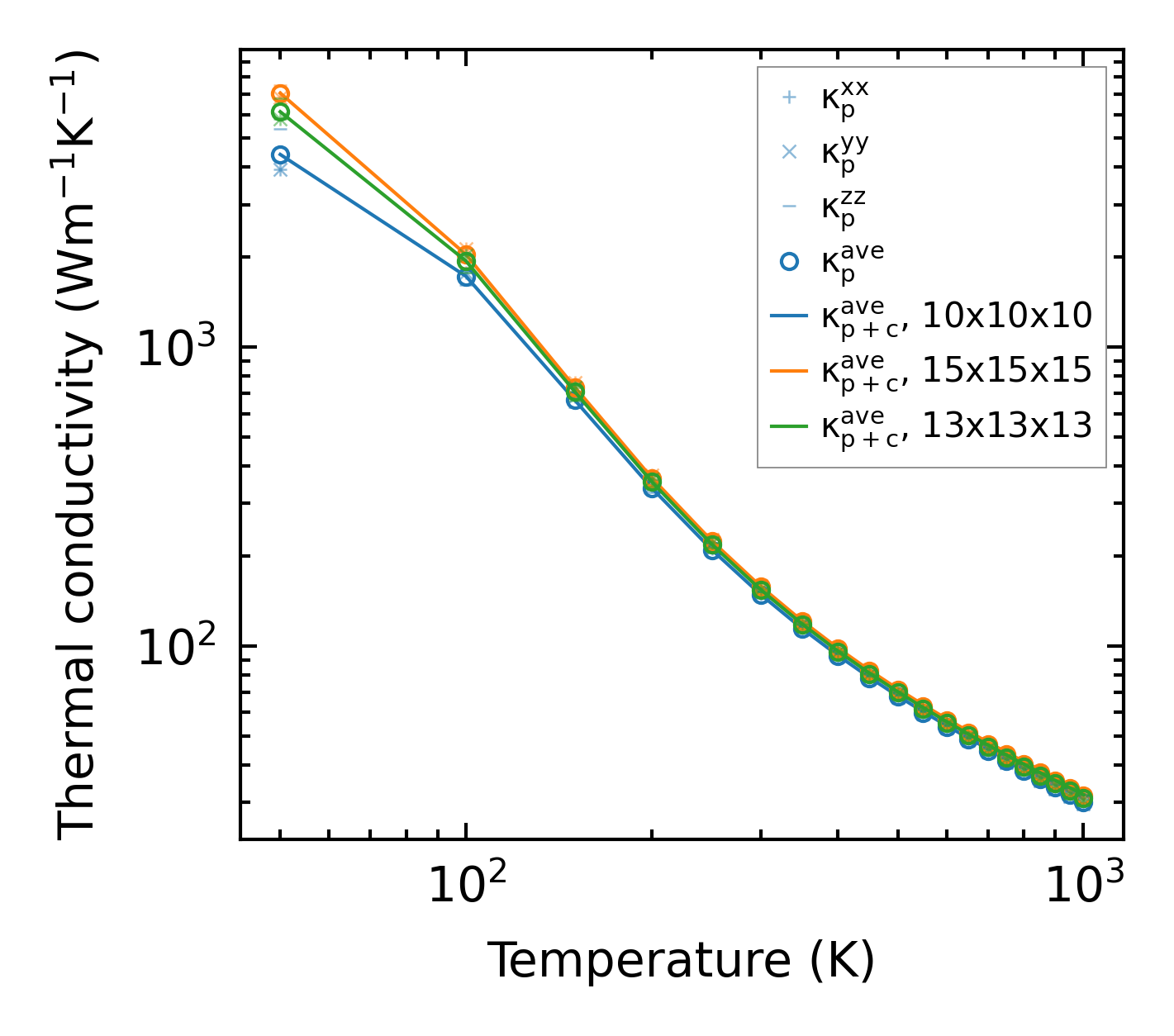
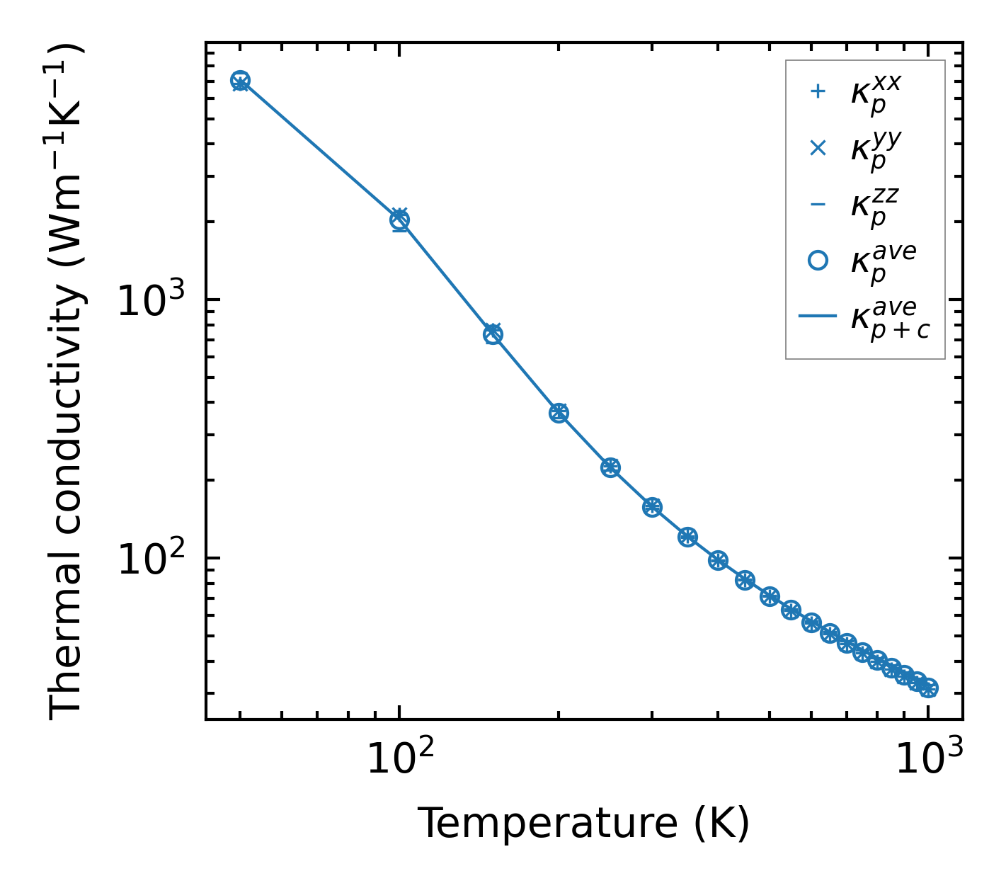
Thermal conductivity

3-phonon (LASSO) — q-mesh: 15x15x15, supercell: 1x1x1

../../_images/fig_kappa4022.png

(a) Temperature-dependent lattice thermal conductivity

../../_images/fig_kappa_vs_grain_size2128.png

(b) Peierls lattice thermal conductivity w.r.t grain size

Phonon lifetime and scattering rates

../../_images/fig_lifetime2084.png

(a) Phonon lifetime due to phonon-phonon scattering

../../_images/fig_scat_rates2083.png

(b) Phonon scattering rates

Cumulative and spectral thermal conductivity

../../_images/fig_cumu_frequency2084.png

(a) Spectral and cumulative thermal conductivity w.r.t frequency

../../_images/fig_cumu_mfp2084.png

(b) Spectral and cumulative thermal conductivity w.r.t MFP

Force constants

../../_images/fig_fc24727.png

(a) Force constants w.r.t atomic distance

Summary

../../_images/fig_kappa4023.png

(a) Temperature-dependent lattice thermal conductivity

../../_images/fig_times8729.png

(b) Computation time