mp-696582/BaSO2/anharm

Harmonic properties

../../_images/fig_bandos_pr4899.png

(a) Phonon dispersion with participation ratio and DOS

../../_images/fig_thermo4899.png

(b) Thermodynamic properties

Grüneisen parameters

../../_images/fig_gru_all2095.png

(a) Grüneisen parameters

../../_images/fig_gruneisen2095.png

(b) Phonon dispersion with Grüneisen parameters

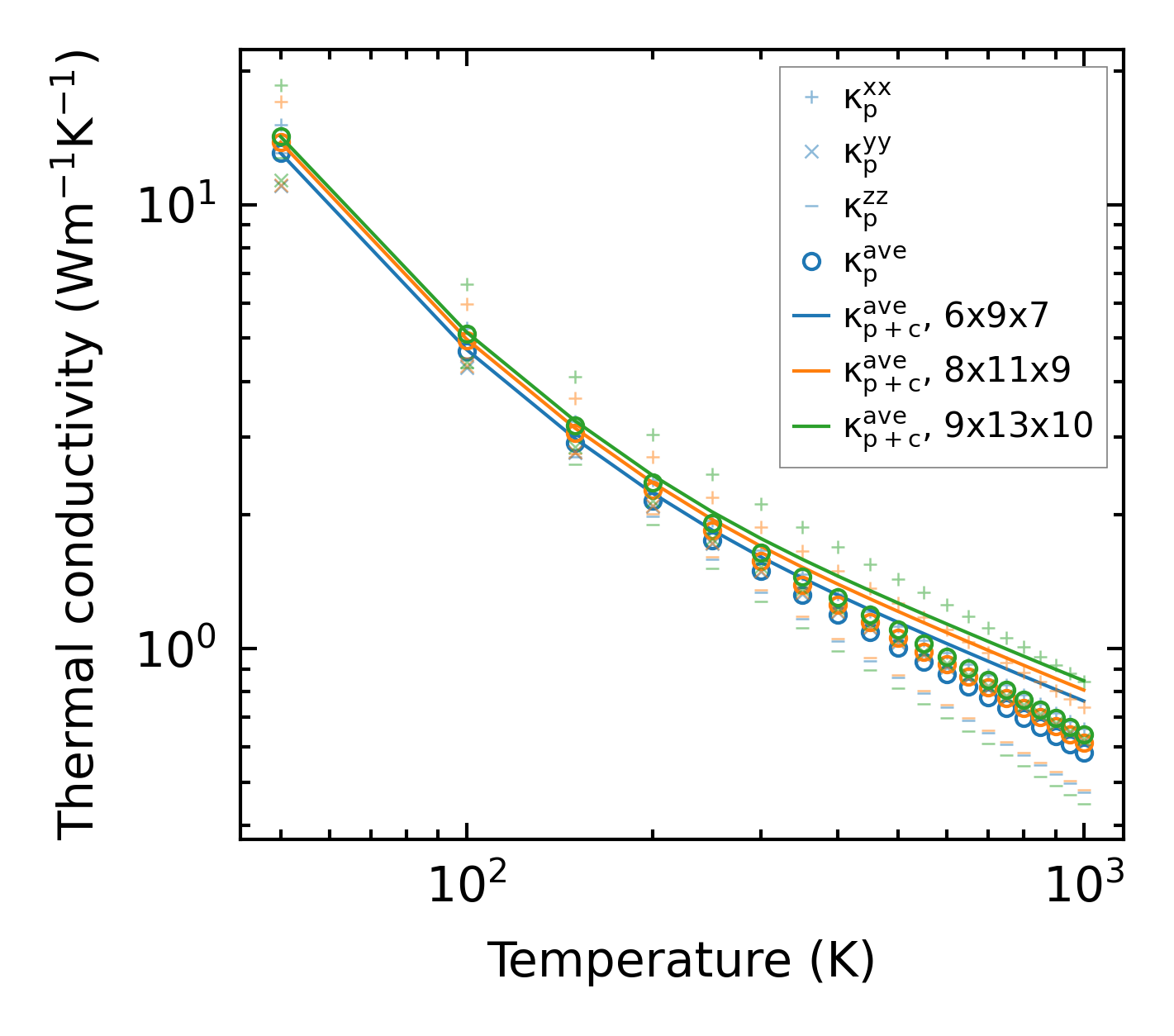
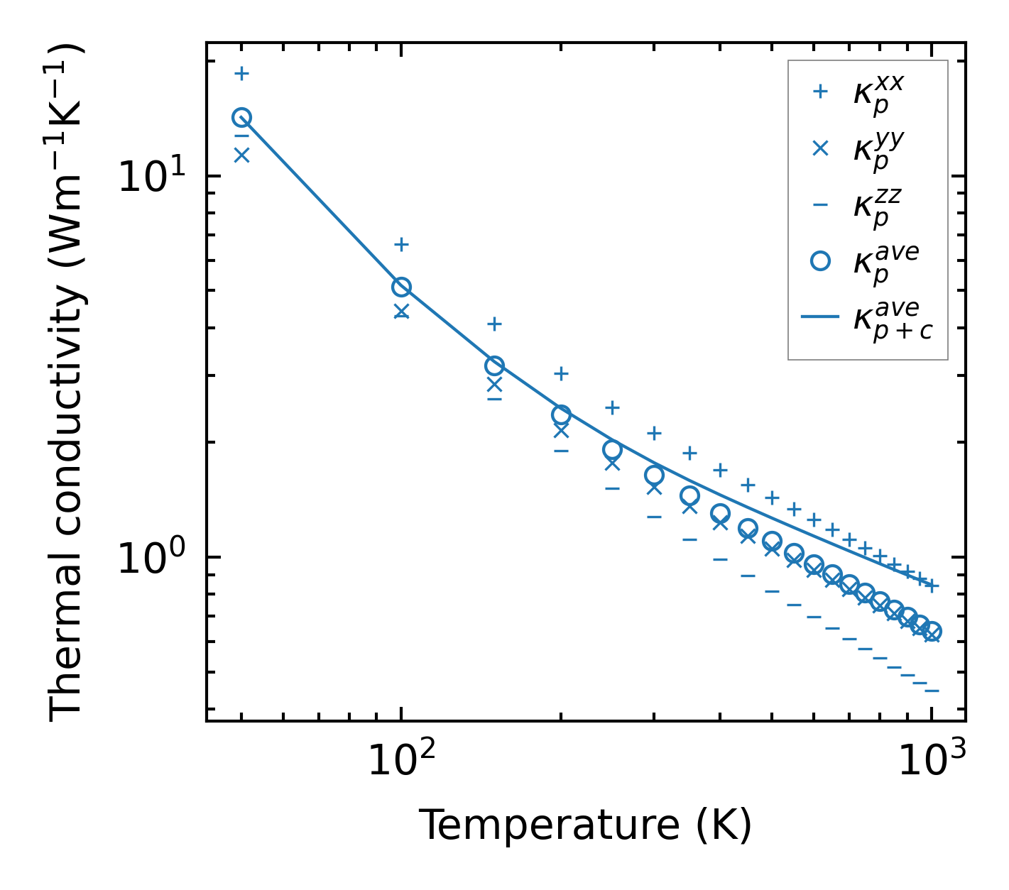
Thermal conductivity

3-phonon (LASSO) — q-mesh: 9x13x10, supercell: 2x2x2

../../_images/fig_kappa4018.png

(a) Temperature-dependent lattice thermal conductivity

../../_images/fig_kappa_vs_grain_size2126.png

(b) Peierls lattice thermal conductivity w.r.t grain size

Phonon lifetime and scattering rates

../../_images/fig_lifetime2082.png

(a) Phonon lifetime due to phonon-phonon scattering

../../_images/fig_scat_rates2081.png

(b) Phonon scattering rates

Cumulative and spectral thermal conductivity

../../_images/fig_cumu_frequency2082.png

(a) Spectral and cumulative thermal conductivity w.r.t frequency

../../_images/fig_cumu_mfp2082.png

(b) Spectral and cumulative thermal conductivity w.r.t MFP

Force constants

../../_images/fig_fc24708.png

(a) Force constants w.r.t atomic distance

Summary

../../_images/fig_kappa4019.png

(a) Temperature-dependent lattice thermal conductivity

../../_images/fig_times8703.png

(b) Computation time