mp-696944/LaHBr2/anharm

Harmonic properties

../../_images/fig_bandos_pr4931.png

(a) Phonon dispersion with participation ratio and DOS

../../_images/fig_thermo4931.png

(b) Thermodynamic properties

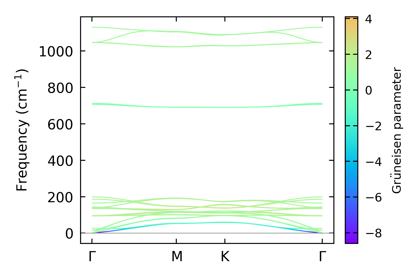
Grüneisen parameters

../../_images/fig_gru_all2100.png

(a) Grüneisen parameters

../../_images/fig_gruneisen2100.png

(b) Phonon dispersion with Grüneisen parameters

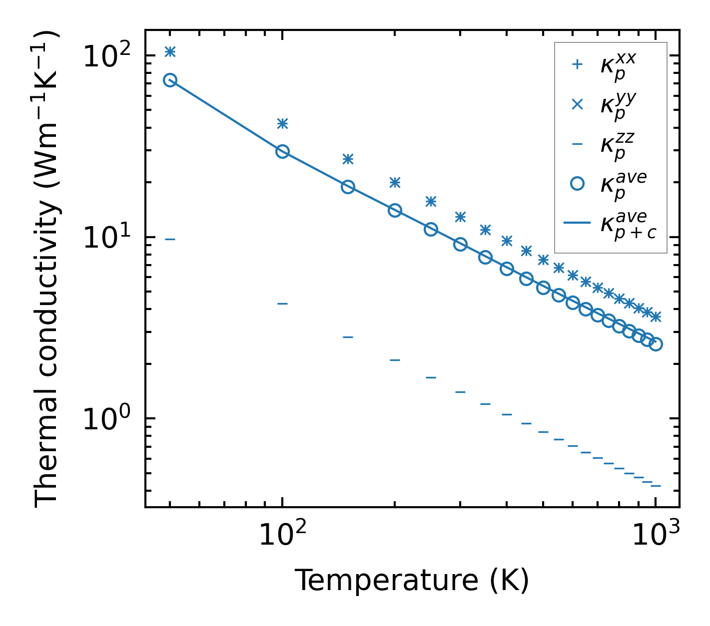
Thermal conductivity

3-phonon (LASSO) — q-mesh: 18x18x5, supercell: 4x4x1

../../_images/fig_kappa4029.png

(a) Temperature-dependent lattice thermal conductivity

../../_images/fig_kappa_vs_grain_size2132.png

(b) Peierls lattice thermal conductivity w.r.t grain size

Phonon lifetime and scattering rates

../../_images/fig_lifetime2087.png

(a) Phonon lifetime due to phonon-phonon scattering

../../_images/fig_scat_rates2086.png

(b) Phonon scattering rates

Cumulative and spectral thermal conductivity

../../_images/fig_cumu_frequency2087.png

(a) Spectral and cumulative thermal conductivity w.r.t frequency

../../_images/fig_cumu_mfp2087.png

(b) Spectral and cumulative thermal conductivity w.r.t MFP

Force constants

../../_images/fig_fc24740.png

(a) Force constants w.r.t atomic distance

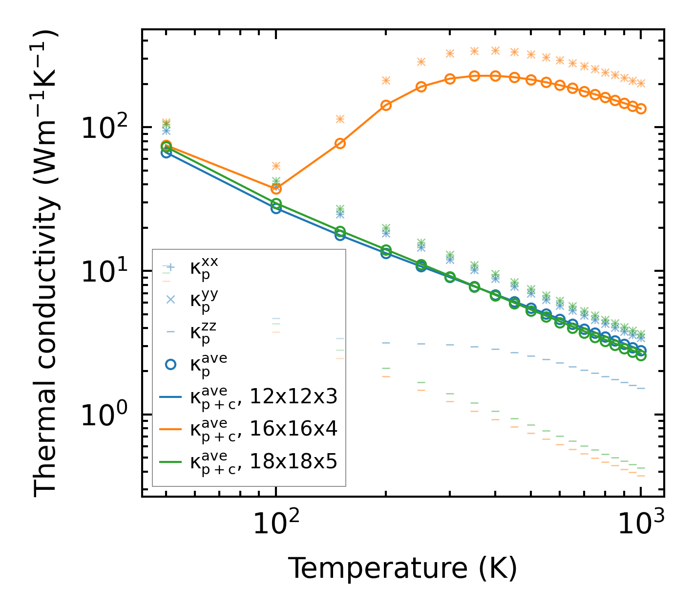
Summary

../../_images/fig_kappa4030.png

(a) Temperature-dependent lattice thermal conductivity

../../_images/fig_times8753.png

(b) Computation time