mp-696806-2/BaH4Br2O2/anharm

Equation of state

../../_images/fig_bm2440.png

(a) Equation of state

Harmonic properties

../../_images/fig_bandos_pr4924.png

(a) Phonon dispersion with participation ratio and DOS

../../_images/fig_thermo4924.png

(b) Thermodynamic properties

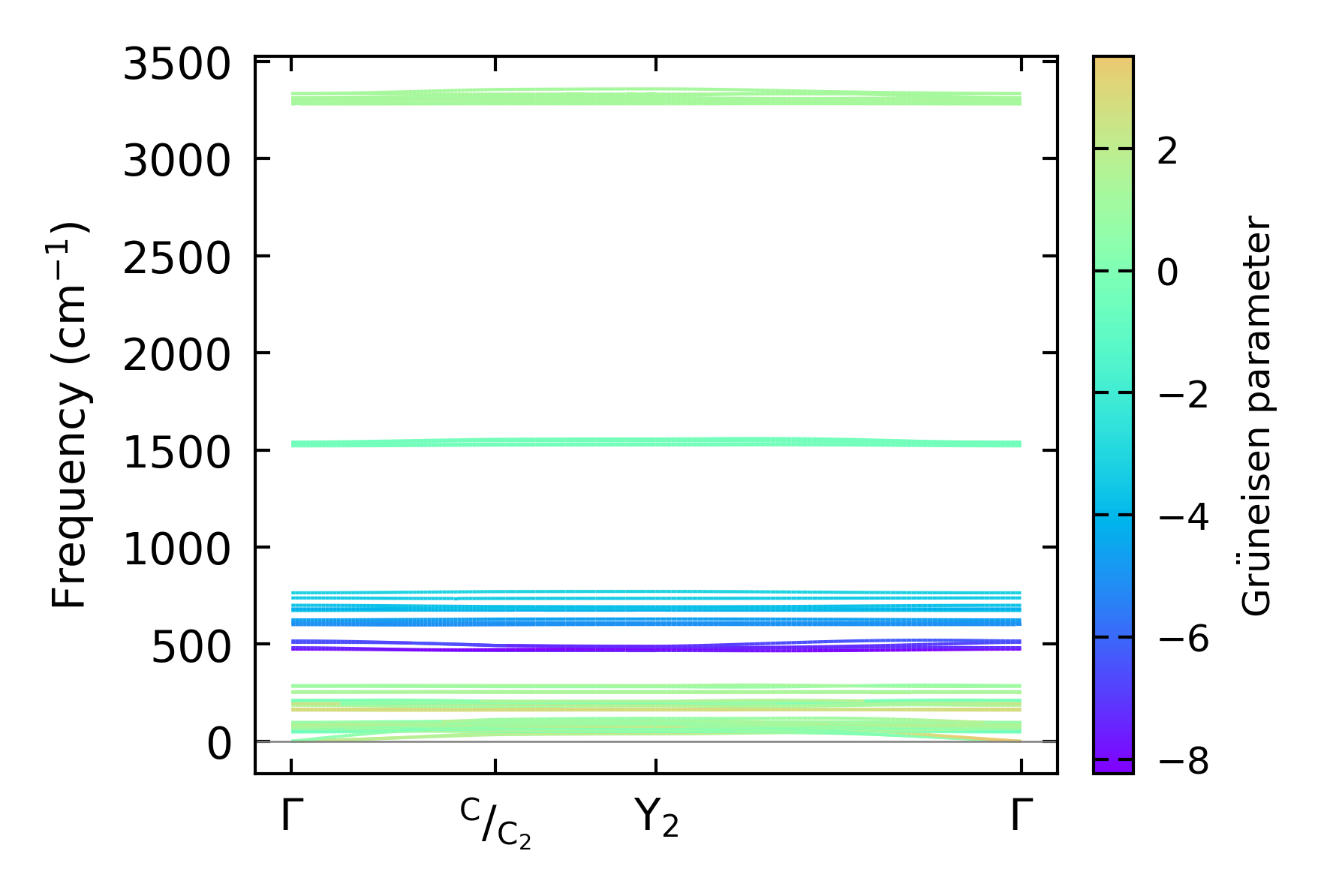
Grüneisen parameters

../../_images/fig_gru_all2099.png

(a) Grüneisen parameters

../../_images/fig_gruneisen2099.png

(b) Phonon dispersion with Grüneisen parameters

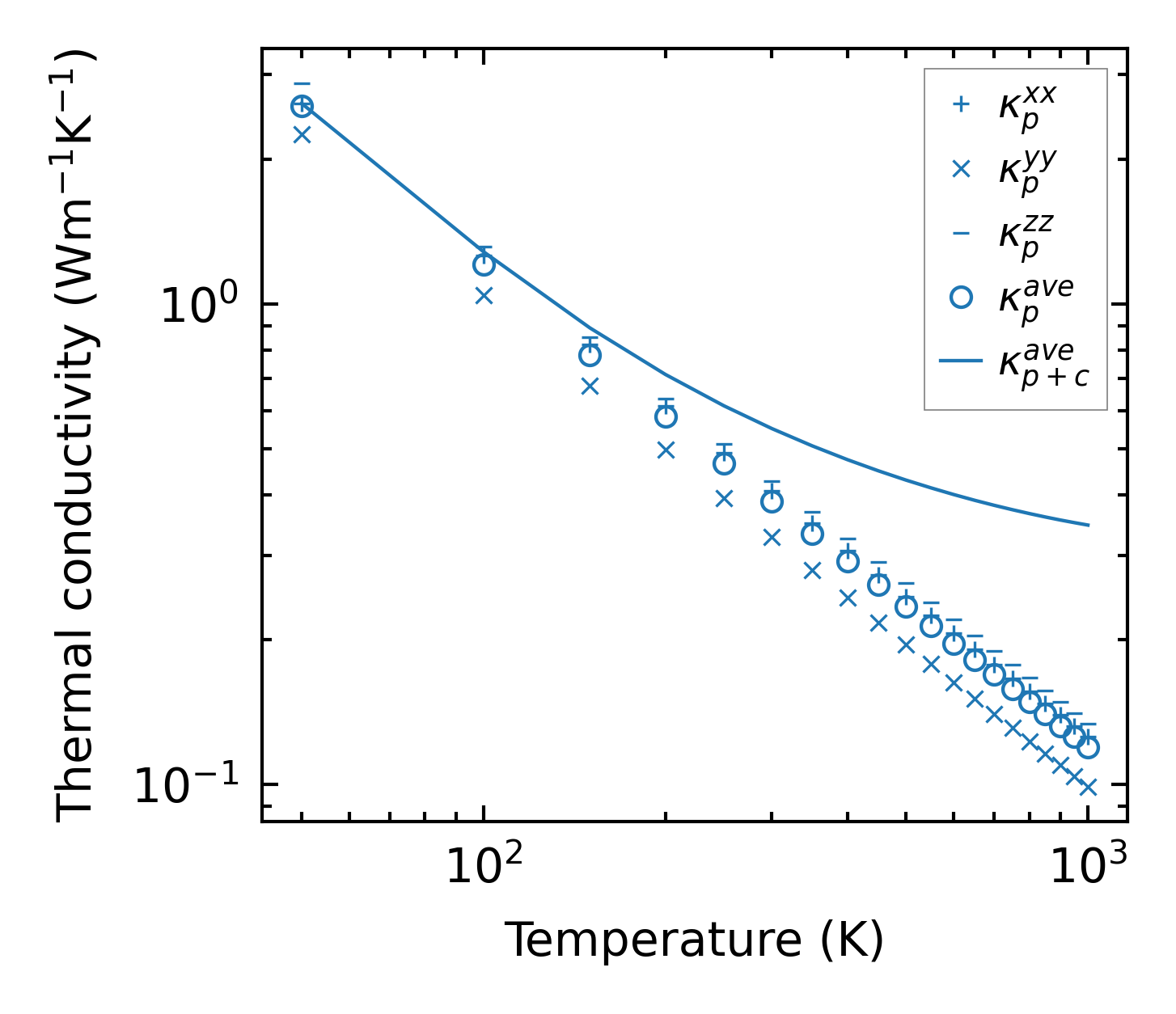
Thermal conductivity

3-phonon (LASSO) — q-mesh: 12x12x9, supercell: 1x2x2

../../_images/fig_kappa4026.png

(a) Temperature-dependent lattice thermal conductivity

../../_images/fig_kappa_vs_grain_size2130.png

(b) Peierls lattice thermal conductivity w.r.t grain size

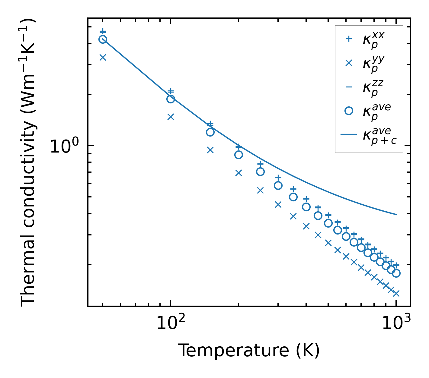
3-phonon (LASSO), supercell 2x2x2 — q-mesh: 12x12x9, supercell: 2x2x2

../../_images/fig_kappa4027.png

(a) Temperature-dependent lattice thermal conductivity

../../_images/fig_kappa_vs_grain_size2131.png

(b) Peierls lattice thermal conductivity w.r.t grain size

Phonon lifetime and scattering rates

../../_images/fig_lifetime2086.png

(a) Phonon lifetime due to phonon-phonon scattering

../../_images/fig_scat_rates2085.png

(b) Phonon scattering rates

Cumulative and spectral thermal conductivity

../../_images/fig_cumu_frequency2086.png

(a) Spectral and cumulative thermal conductivity w.r.t frequency

../../_images/fig_cumu_mfp2086.png

(b) Spectral and cumulative thermal conductivity w.r.t MFP

Force constants

../../_images/fig_fc24733.png

(a) Force constants w.r.t atomic distance

Summary

../../_images/fig_kappa4028.png

(a) Temperature-dependent lattice thermal conductivity

../../_images/fig_times8738.png

(b) Computation time