mp-696216/HS3N/anharm

Harmonic properties

../../_images/fig_bandos_pr4878.png

(a) Phonon dispersion with participation ratio and DOS

../../_images/fig_thermo4878.png

(b) Thermodynamic properties

Grüneisen parameters

../../_images/fig_gru_all2090.png

(a) Grüneisen parameters

../../_images/fig_gruneisen2090.png

(b) Phonon dispersion with Grüneisen parameters

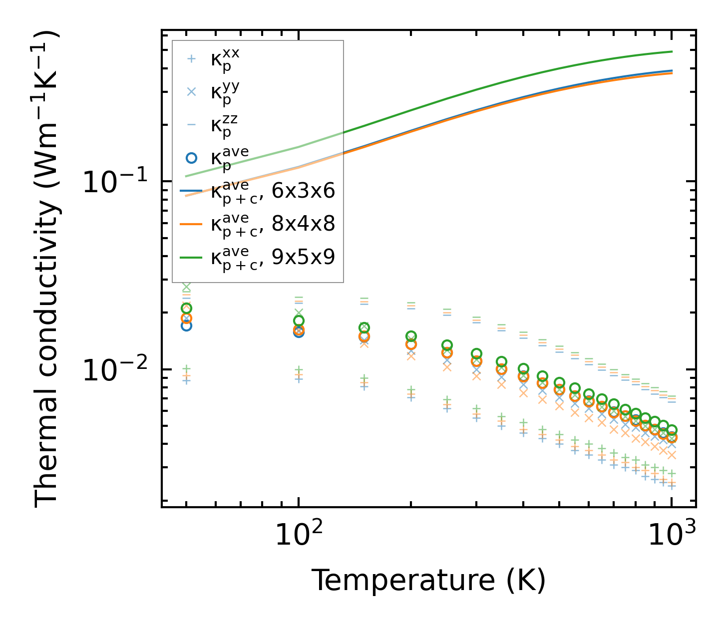
Thermal conductivity

3-phonon (LASSO) — q-mesh: 9x5x9, supercell: 1x1x2

../../_images/fig_kappa4009.png

(a) Temperature-dependent lattice thermal conductivity

../../_images/fig_kappa_vs_grain_size2121.png

(b) Peierls lattice thermal conductivity w.r.t grain size

Phonon lifetime and scattering rates

../../_images/fig_lifetime2077.png

(a) Phonon lifetime due to phonon-phonon scattering

../../_images/fig_scat_rates2076.png

(b) Phonon scattering rates

Cumulative and spectral thermal conductivity

../../_images/fig_cumu_frequency2077.png

(a) Spectral and cumulative thermal conductivity w.r.t frequency

../../_images/fig_cumu_mfp2077.png

(b) Spectral and cumulative thermal conductivity w.r.t MFP

Force constants

../../_images/fig_fc24687.png

(a) Force constants w.r.t atomic distance

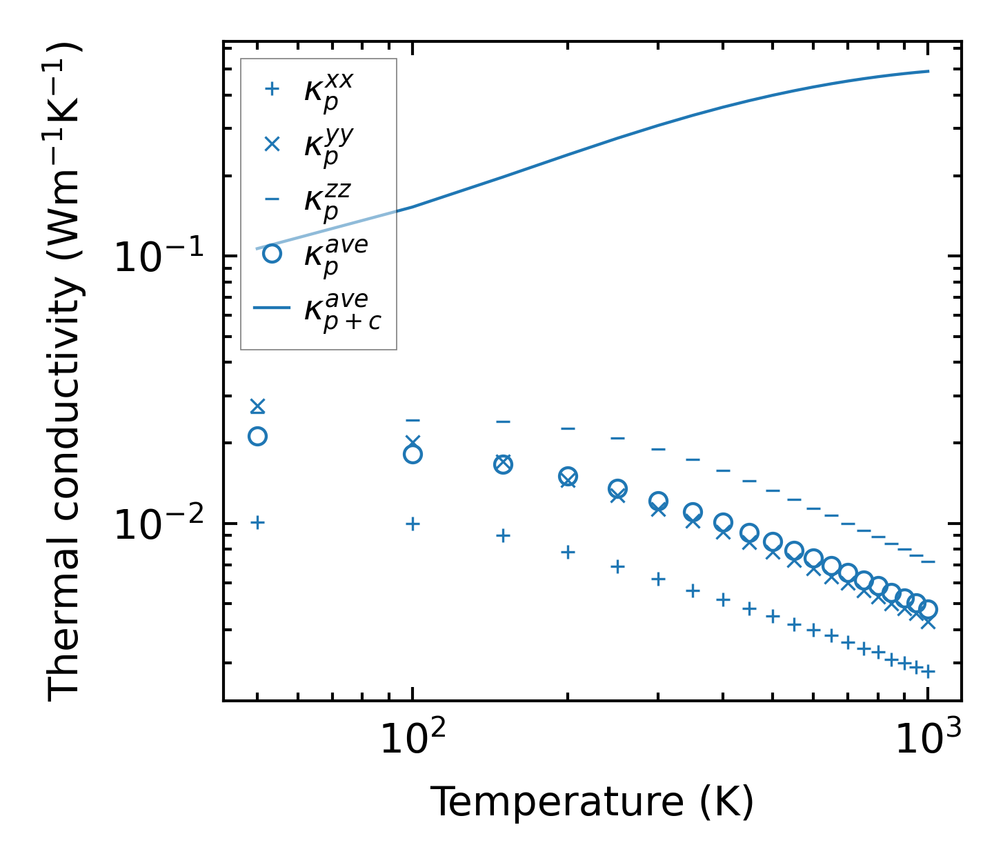
Summary

../../_images/fig_kappa4010.png

(a) Temperature-dependent lattice thermal conductivity

../../_images/fig_times8661.png

(b) Computation time