mp-31455/VSbRu/anharm

Harmonic properties

../../_images/fig_bandos_pr10762.png

(a) Phonon dispersion with participation ratio and DOS

../../_images/fig_thermo10762.png

(b) Thermodynamic properties

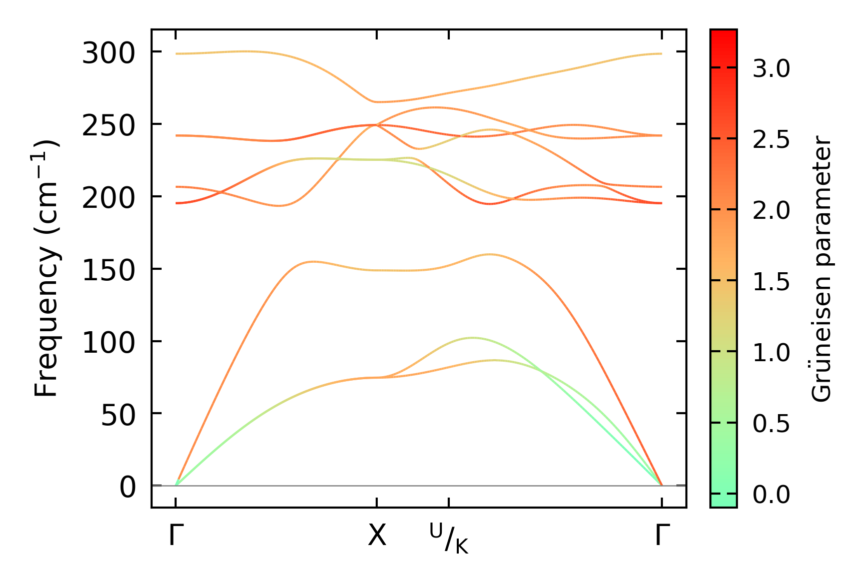
Grüneisen parameters

../../_images/fig_gru_all4384.png

(a) Grüneisen parameters

../../_images/fig_gruneisen4384.png

(b) Phonon dispersion with Grüneisen parameters

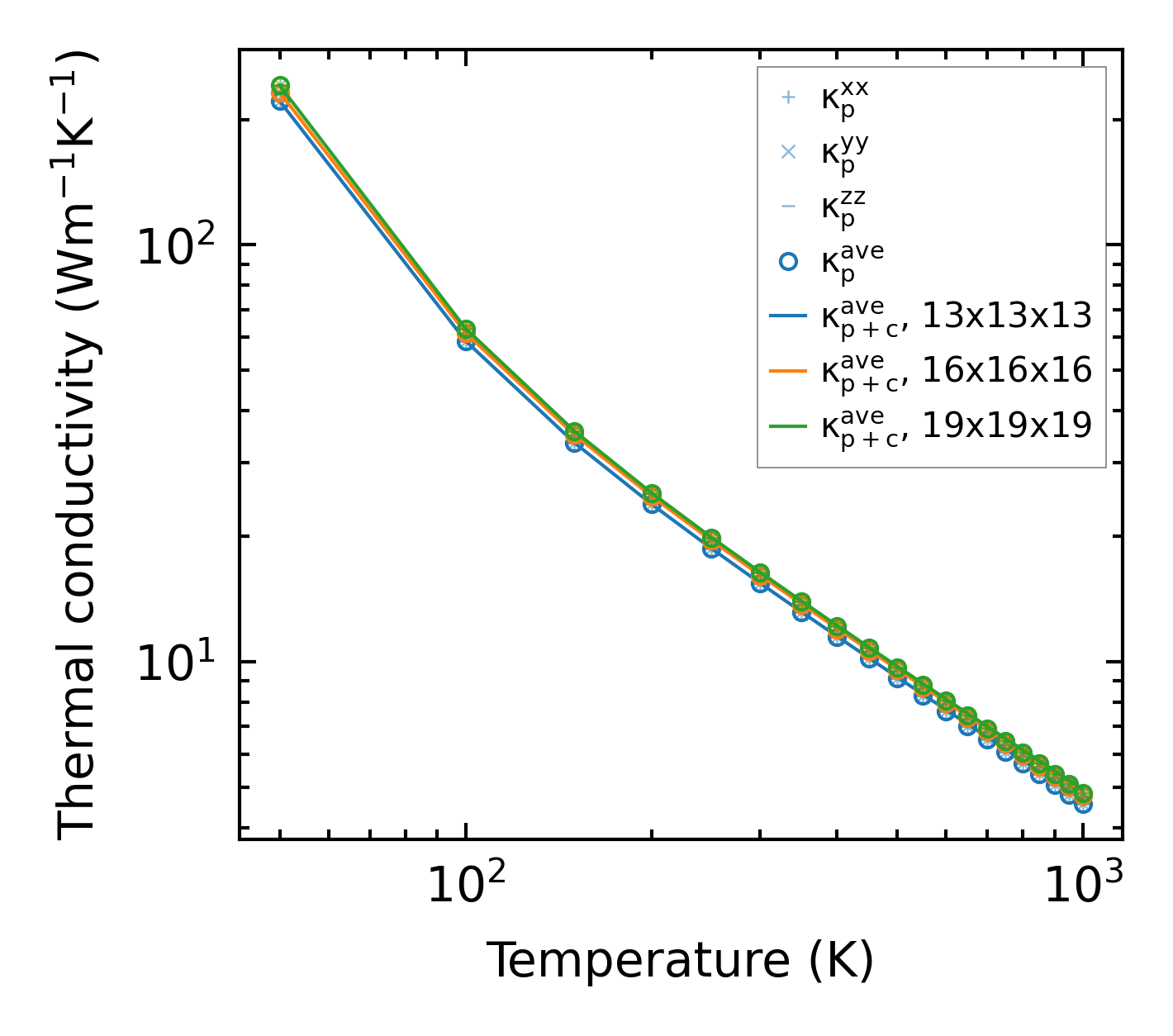
Thermal conductivity

3-phonon — q-mesh: 19x19x19, supercell: 2x2x2

../../_images/fig_kappa8278.png

(a) Temperature-dependent lattice thermal conductivity

../../_images/fig_kappa_vs_grain_size4437.png

(b) Peierls lattice thermal conductivity w.r.t grain size

Phonon lifetime and scattering rates

../../_images/fig_lifetime4341.png

(a) Phonon lifetime due to phonon-phonon scattering

../../_images/fig_scat_rates4340.png

(b) Phonon scattering rates

Cumulative and spectral thermal conductivity

../../_images/fig_cumu_frequency4341.png

(a) Spectral and cumulative thermal conductivity w.r.t frequency

../../_images/fig_cumu_mfp4340.png

(b) Spectral and cumulative thermal conductivity w.r.t MFP

Force constants

../../_images/fig_fc3271.png

(a) Force constants w.r.t atomic distance

Summary

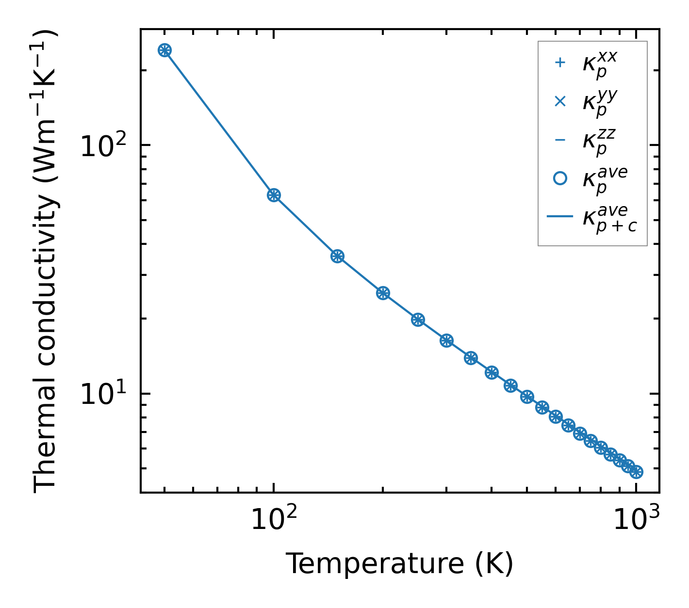
../../_images/fig_kappa8279.png

(a) Temperature-dependent lattice thermal conductivity

../../_images/fig_times18456.png

(b) Computation time