mp-31287/Tl3PdBr5/anharm

Harmonic properties

../../_images/fig_bandos_pr10739.png

(a) Phonon dispersion with participation ratio and DOS

../../_images/fig_thermo10739.png

(b) Thermodynamic properties

Grüneisen parameters

../../_images/fig_gru_all4370.png

(a) Grüneisen parameters

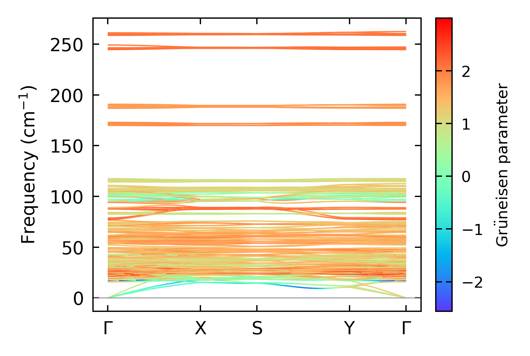
../../_images/fig_gruneisen4370.png

(b) Phonon dispersion with Grüneisen parameters

Thermal conductivity

3-phonon (LASSO) — q-mesh: 9x4x4, supercell: 2x1x1

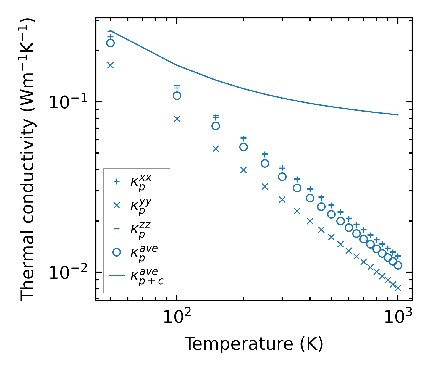
../../_images/fig_kappa8249.png

(a) Temperature-dependent lattice thermal conductivity

../../_images/fig_kappa_vs_grain_size4422.png

(b) Peierls lattice thermal conductivity w.r.t grain size

Phonon lifetime and scattering rates

../../_images/fig_lifetime4327.png

(a) Phonon lifetime due to phonon-phonon scattering

../../_images/fig_scat_rates4326.png

(b) Phonon scattering rates

Cumulative and spectral thermal conductivity

../../_images/fig_cumu_frequency4327.png

(a) Spectral and cumulative thermal conductivity w.r.t frequency

../../_images/fig_cumu_mfp4326.png

(b) Spectral and cumulative thermal conductivity w.r.t MFP

Force constants

../../_images/fig_fc210471.png

(a) Force constants w.r.t atomic distance

Summary

../../_images/fig_kappa8250.png

(a) Temperature-dependent lattice thermal conductivity

../../_images/fig_times18426.png

(b) Computation time