mp-31358/RbBO2/anharm

Harmonic properties

../../_images/fig_bandos_pr10750.png

(a) Phonon dispersion with participation ratio and DOS

../../_images/fig_thermo10750.png

(b) Thermodynamic properties

Grüneisen parameters

../../_images/fig_gru_all4378.png

(a) Grüneisen parameters

../../_images/fig_gruneisen4378.png

(b) Phonon dispersion with Grüneisen parameters

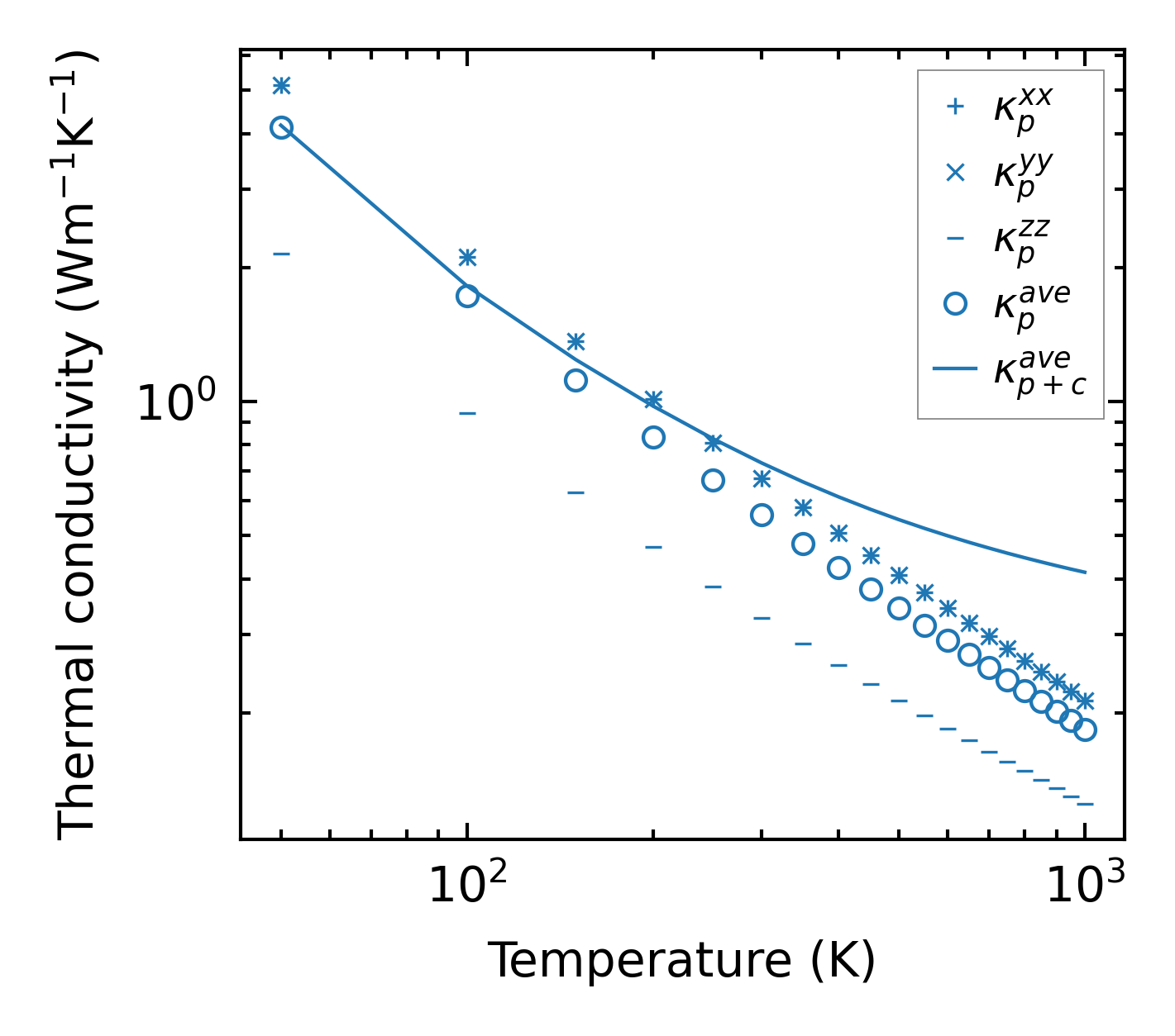
Thermal conductivity

3-phonon (LASSO) — q-mesh: 9x9x9, supercell: 1x1x2

../../_images/fig_kappa8265.png

(a) Temperature-dependent lattice thermal conductivity

../../_images/fig_kappa_vs_grain_size4430.png

(b) Peierls lattice thermal conductivity w.r.t grain size

Phonon lifetime and scattering rates

../../_images/fig_lifetime4335.png

(a) Phonon lifetime due to phonon-phonon scattering

../../_images/fig_scat_rates4334.png

(b) Phonon scattering rates

Cumulative and spectral thermal conductivity

../../_images/fig_cumu_frequency4335.png

(a) Spectral and cumulative thermal conductivity w.r.t frequency

../../_images/fig_cumu_mfp4334.png

(b) Spectral and cumulative thermal conductivity w.r.t MFP

Force constants

../../_images/fig_fc210482.png

(a) Force constants w.r.t atomic distance

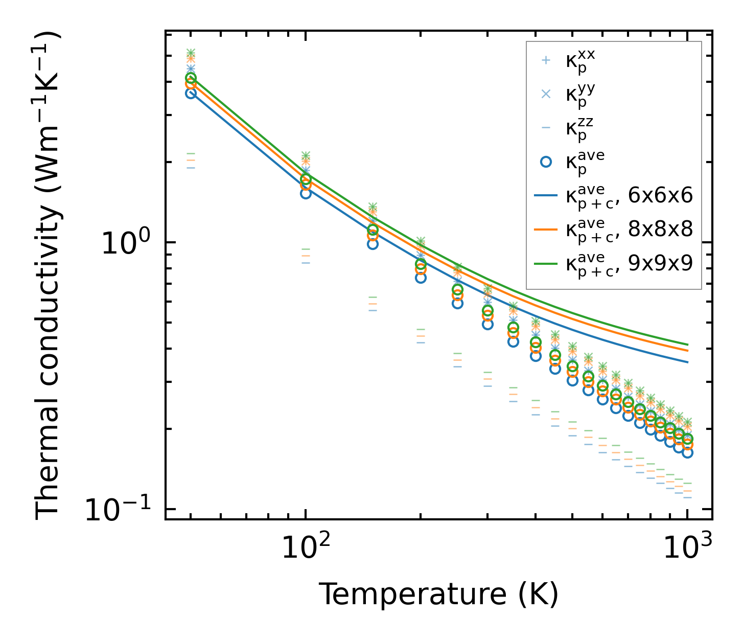
Summary

../../_images/fig_kappa8266.png

(a) Temperature-dependent lattice thermal conductivity

../../_images/fig_times18440.png

(b) Computation time