mp-31124/Y2MoO6/harm

Harmonic properties

../../_images/fig_bandos_pr10727.png

(a) Phonon dispersion with participation ratio and DOS

../../_images/fig_bandos14648.png

(b) Phonon dispersion and DOS

../../_images/fig_thermo10727.png

(c) Thermodynamic properties

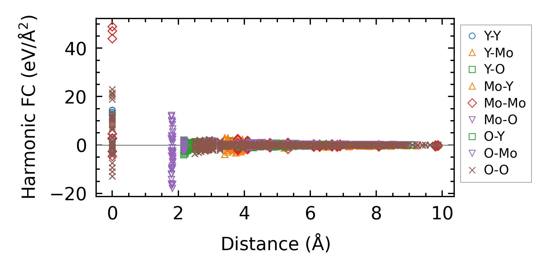
Force constants

../../_images/fig_fc210460.png

(a) Force constants w.r.t atomic distance

Summary

../../_images/fig_times18400.png

(a) Computation time