mp-31305/HfTe6Cl6/anharm

Harmonic properties

../../_images/fig_bandos_pr10743.png

(a) Phonon dispersion with participation ratio and DOS

../../_images/fig_thermo10743.png

(b) Thermodynamic properties

Grüneisen parameters

../../_images/fig_gru_all4373.png

(a) Grüneisen parameters

../../_images/fig_gruneisen4373.png

(b) Phonon dispersion with Grüneisen parameters

Thermal conductivity

3-phonon (LASSO) — q-mesh: 6x6x5, supercell: 2x1x1

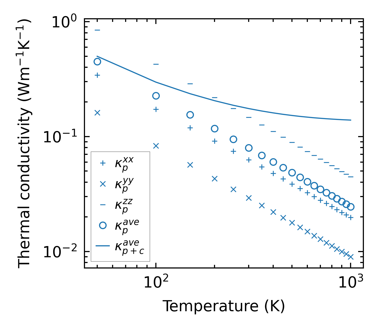
../../_images/fig_kappa8255.png

(a) Temperature-dependent lattice thermal conductivity

../../_images/fig_kappa_vs_grain_size4425.png

(b) Peierls lattice thermal conductivity w.r.t grain size

Phonon lifetime and scattering rates

../../_images/fig_lifetime4330.png

(a) Phonon lifetime due to phonon-phonon scattering

../../_images/fig_scat_rates4329.png

(b) Phonon scattering rates

Cumulative and spectral thermal conductivity

../../_images/fig_cumu_frequency4330.png

(a) Spectral and cumulative thermal conductivity w.r.t frequency

../../_images/fig_cumu_mfp4329.png

(b) Spectral and cumulative thermal conductivity w.r.t MFP

Force constants

../../_images/fig_fc210475.png

(a) Force constants w.r.t atomic distance

Summary

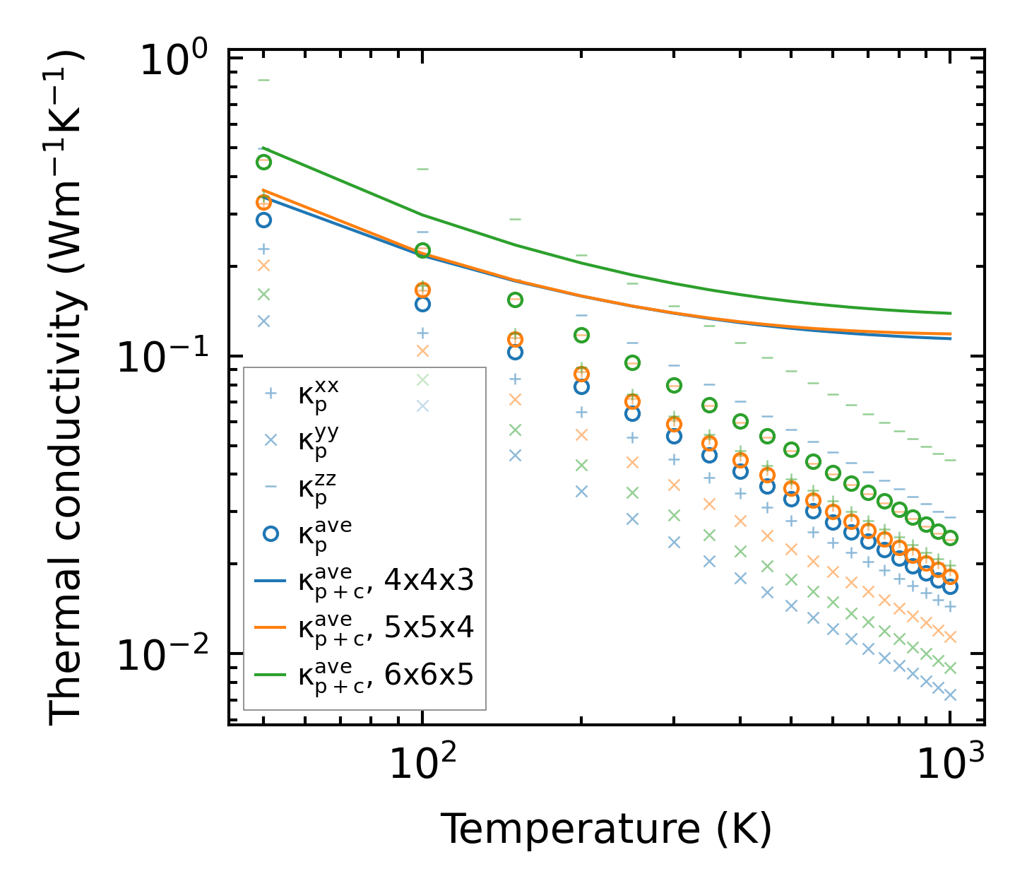
../../_images/fig_kappa8256.png

(a) Temperature-dependent lattice thermal conductivity

../../_images/fig_times18431.png

(b) Computation time