mp-31451/ZrCoBi/anharm

Harmonic properties

../../_images/fig_bandos_pr10760.png

(a) Phonon dispersion with participation ratio and DOS

../../_images/fig_thermo10760.png

(b) Thermodynamic properties

Grüneisen parameters

../../_images/fig_gru_all4382.png

(a) Grüneisen parameters

../../_images/fig_gruneisen4382.png

(b) Phonon dispersion with Grüneisen parameters

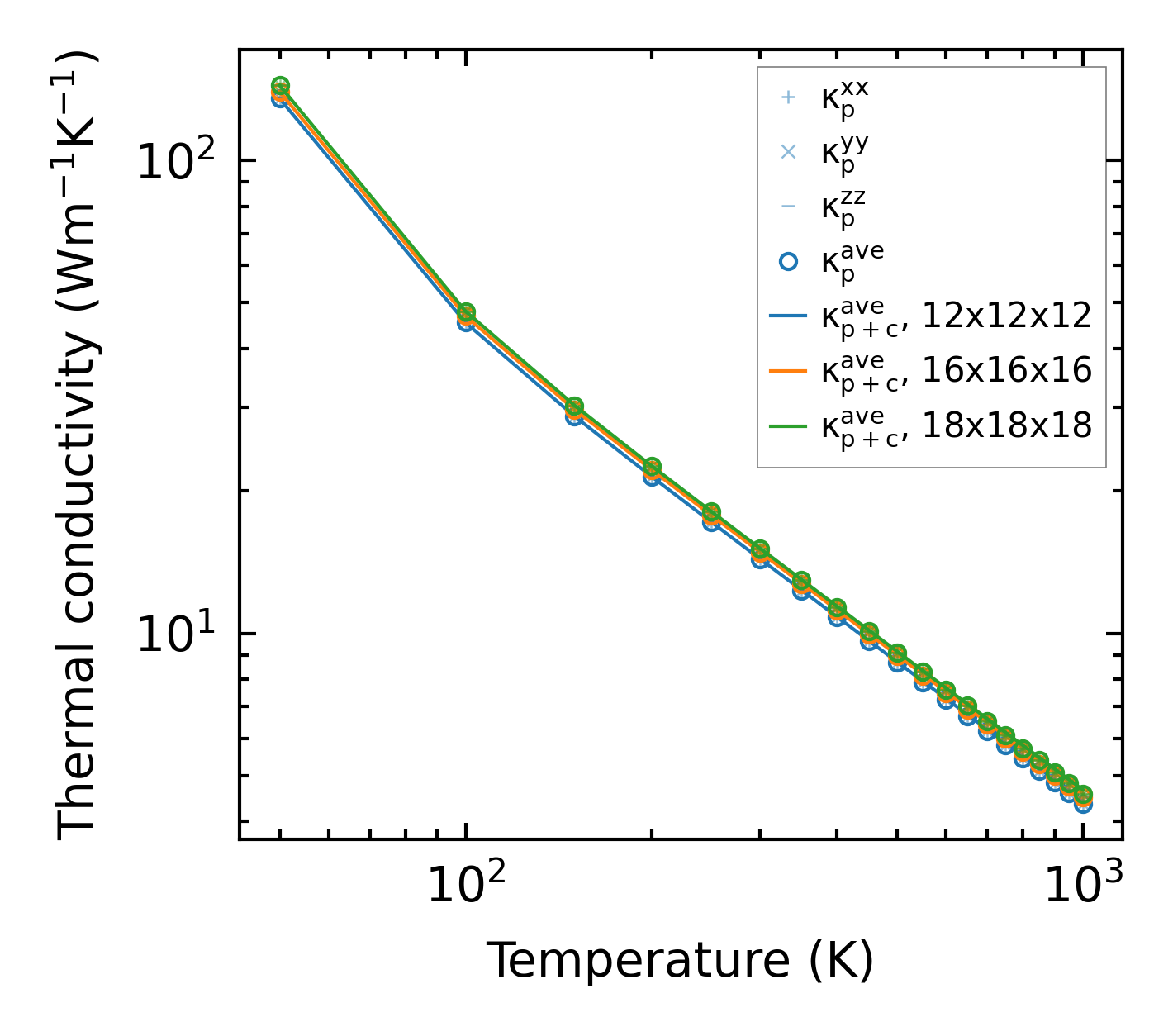
Thermal conductivity

3-phonon — q-mesh: 18x18x18, supercell: 2x2x2

../../_images/fig_kappa8274.png

(a) Temperature-dependent lattice thermal conductivity

../../_images/fig_kappa_vs_grain_size4435.png

(b) Peierls lattice thermal conductivity w.r.t grain size

Phonon lifetime and scattering rates

../../_images/fig_lifetime4339.png

(a) Phonon lifetime due to phonon-phonon scattering

../../_images/fig_scat_rates4338.png

(b) Phonon scattering rates

Cumulative and spectral thermal conductivity

../../_images/fig_cumu_frequency4339.png

(a) Spectral and cumulative thermal conductivity w.r.t frequency

../../_images/fig_cumu_mfp4338.png

(b) Spectral and cumulative thermal conductivity w.r.t MFP

Force constants

../../_images/fig_fc3269.png

(a) Force constants w.r.t atomic distance

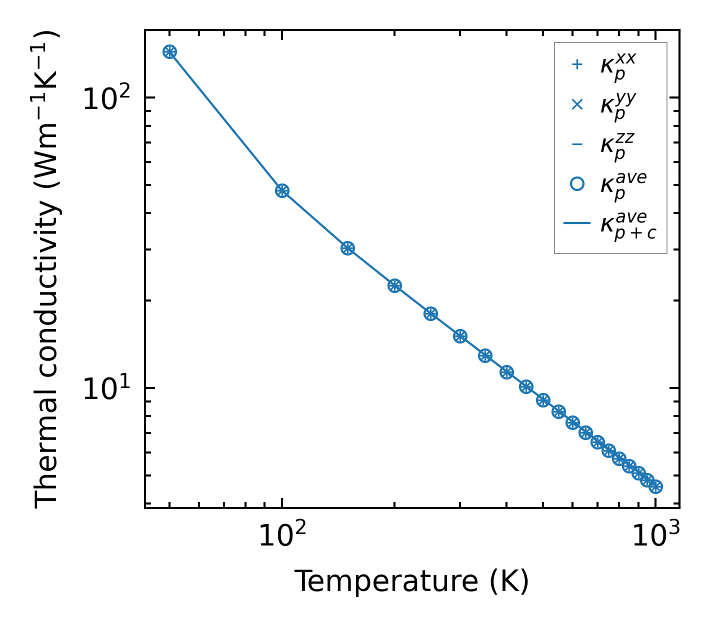
Summary

../../_images/fig_kappa8275.png

(a) Temperature-dependent lattice thermal conductivity

../../_images/fig_times18454.png

(b) Computation time