mp-31002/Rb2Te5/anharm

Harmonic properties

../../_images/fig_bandos_pr10700.png

(a) Phonon dispersion with participation ratio and DOS

../../_images/fig_thermo10700.png

(b) Thermodynamic properties

Grüneisen parameters

../../_images/fig_gru_all4358.png

(a) Grüneisen parameters

../../_images/fig_gruneisen4358.png

(b) Phonon dispersion with Grüneisen parameters

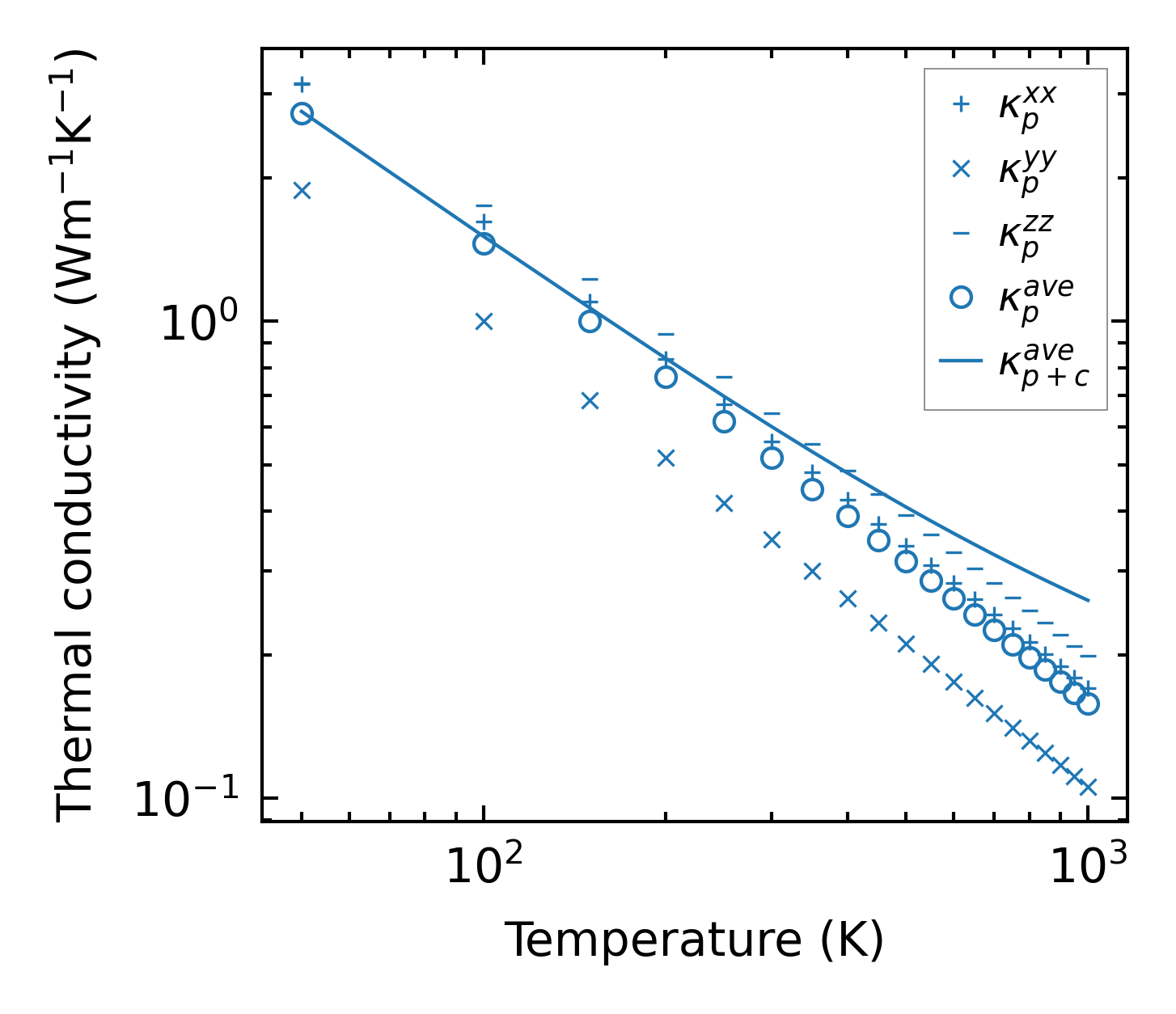
Thermal conductivity

3-phonon (LASSO) — q-mesh: 10x10x13, supercell: 1x2x3

../../_images/fig_kappa8225.png

(a) Temperature-dependent lattice thermal conductivity

../../_images/fig_kappa_vs_grain_size4410.png

(b) Peierls lattice thermal conductivity w.r.t grain size

Phonon lifetime and scattering rates

../../_images/fig_lifetime4315.png

(a) Phonon lifetime due to phonon-phonon scattering

../../_images/fig_scat_rates4314.png

(b) Phonon scattering rates

Cumulative and spectral thermal conductivity

../../_images/fig_cumu_frequency4315.png

(a) Spectral and cumulative thermal conductivity w.r.t frequency

../../_images/fig_cumu_mfp4314.png

(b) Spectral and cumulative thermal conductivity w.r.t MFP

Force constants

../../_images/fig_fc210433.png

(a) Force constants w.r.t atomic distance

Summary

../../_images/fig_kappa8226.png

(a) Temperature-dependent lattice thermal conductivity

../../_images/fig_times18358.png

(b) Computation time