mp-31419/LaSb5O12/anharm

Harmonic properties

../../_images/fig_bandos_pr10759.png

(a) Phonon dispersion with participation ratio and DOS

../../_images/fig_thermo10759.png

(b) Thermodynamic properties

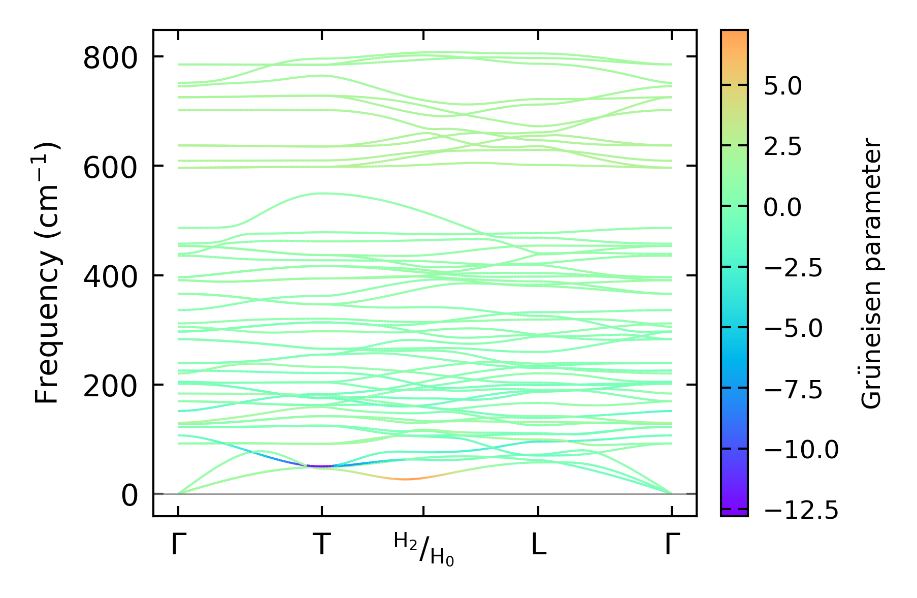
Grüneisen parameters

../../_images/fig_gru_all4381.png

(a) Grüneisen parameters

../../_images/fig_gruneisen4381.png

(b) Phonon dispersion with Grüneisen parameters

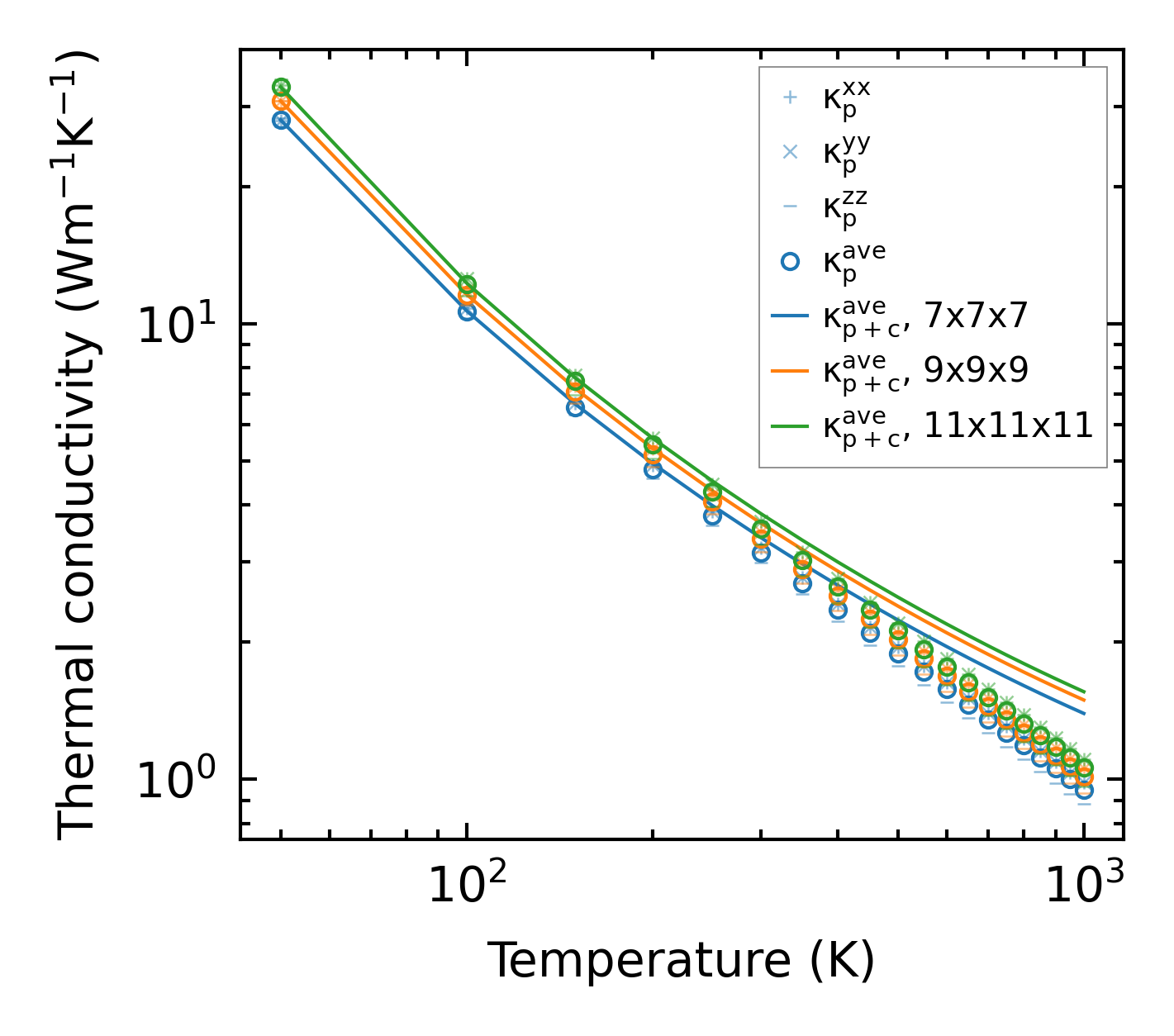
Thermal conductivity

3-phonon (LASSO) — q-mesh: 11x11x11, supercell: 1x1x1

../../_images/fig_kappa8272.png

(a) Temperature-dependent lattice thermal conductivity

../../_images/fig_kappa_vs_grain_size4434.png

(b) Peierls lattice thermal conductivity w.r.t grain size

Phonon lifetime and scattering rates

../../_images/fig_lifetime4338.png

(a) Phonon lifetime due to phonon-phonon scattering

../../_images/fig_scat_rates4337.png

(b) Phonon scattering rates

Cumulative and spectral thermal conductivity

../../_images/fig_cumu_frequency4338.png

(a) Spectral and cumulative thermal conductivity w.r.t frequency

../../_images/fig_cumu_mfp4337.png

(b) Spectral and cumulative thermal conductivity w.r.t MFP

Force constants

../../_images/fig_fc210491.png

(a) Force constants w.r.t atomic distance

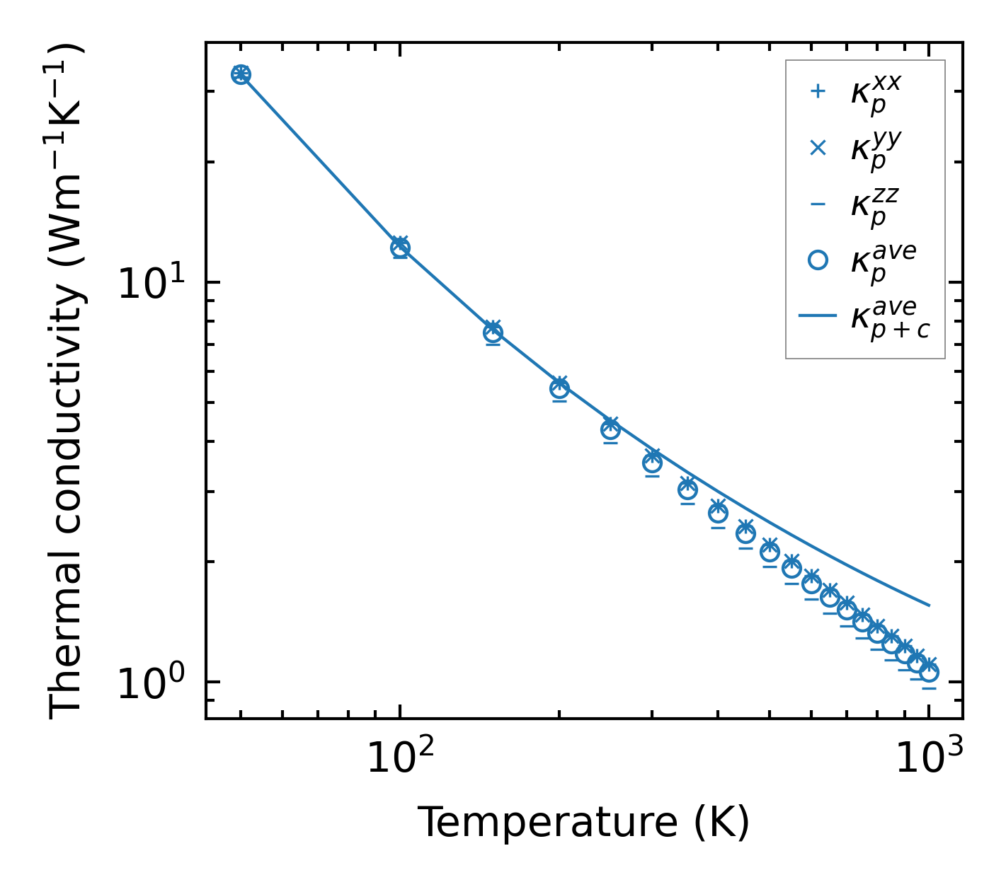
Summary

../../_images/fig_kappa8273.png

(a) Temperature-dependent lattice thermal conductivity

../../_images/fig_times18453.png

(b) Computation time