mp-1205686/Ba2PrTaO6/harm

Harmonic properties

../../_images/fig_bandos_pr15423.png

(a) Phonon dispersion with participation ratio and DOS

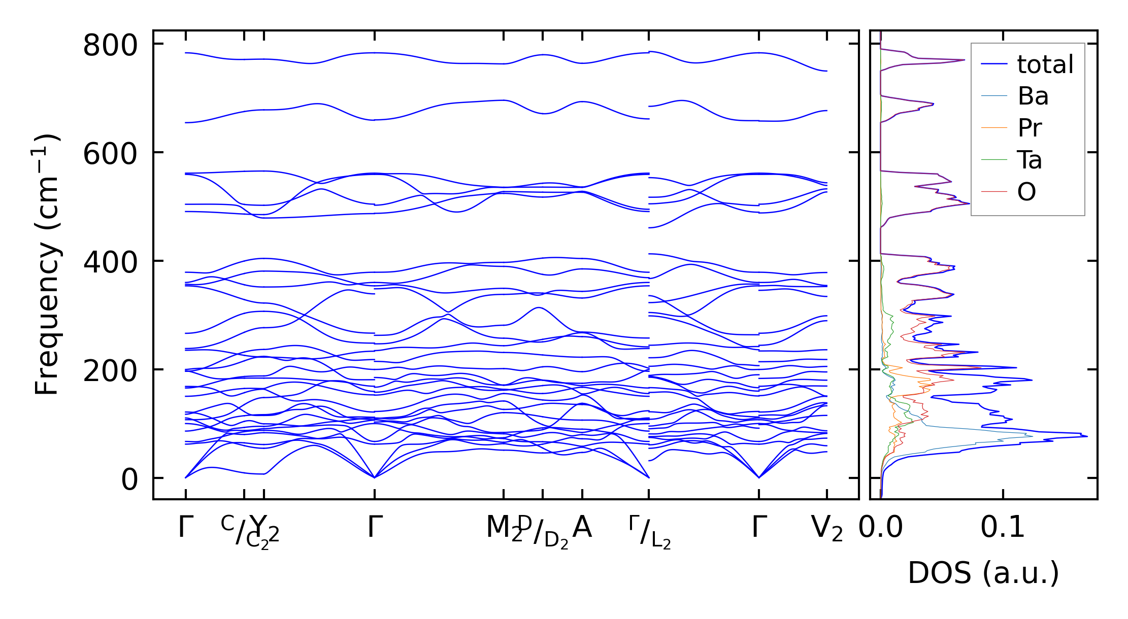
../../_images/fig_bandos19801.png

(b) Phonon dispersion and DOS

../../_images/fig_thermo15422.png

(c) Thermodynamic properties

Force constants

../../_images/fig_fc215026.png

(a) Force constants w.r.t atomic distance

Summary

../../_images/fig_times25500.png

(a) Computation time