mp-1205400/Ba2NdInTe5/anharm

Harmonic properties

../../_images/fig_bandos_pr15408.png

(a) Phonon dispersion with participation ratio and DOS

../../_images/fig_thermo15407.png

(b) Thermodynamic properties

Grüneisen parameters

../../_images/fig_gru_all6669.png

(a) Grüneisen parameters

../../_images/fig_gruneisen6669.png

(b) Phonon dispersion with Grüneisen parameters

Thermal conductivity

3-phonon (LASSO) — q-mesh: 9x9x6, supercell: 4x1x1

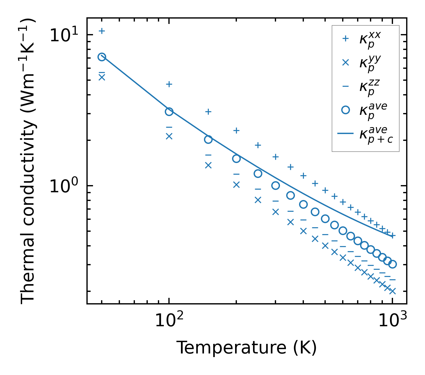
../../_images/fig_kappa12560.png

(a) Temperature-dependent lattice thermal conductivity

../../_images/fig_kappa_vs_grain_size6747.png

(b) Peierls lattice thermal conductivity w.r.t grain size

Phonon lifetime and scattering rates

../../_images/fig_lifetime6603.png

(a) Phonon lifetime due to phonon-phonon scattering

../../_images/fig_scat_rates6602.png

(b) Phonon scattering rates

Cumulative and spectral thermal conductivity

../../_images/fig_cumu_frequency6603.png

(a) Spectral and cumulative thermal conductivity w.r.t frequency

../../_images/fig_cumu_mfp6602.png

(b) Spectral and cumulative thermal conductivity w.r.t MFP

Force constants

../../_images/fig_fc215011.png

(a) Force constants w.r.t atomic distance

Summary

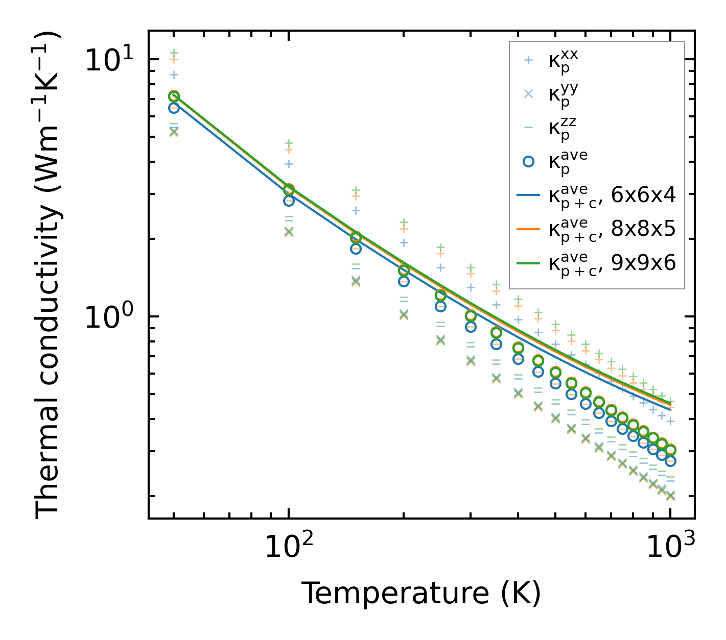
../../_images/fig_kappa12561.png

(a) Temperature-dependent lattice thermal conductivity

../../_images/fig_times25482.png

(b) Computation time