mp-1205335/RbAg3S2/anharm

Harmonic properties

../../_images/fig_bandos_pr15395.png

(a) Phonon dispersion with participation ratio and DOS

../../_images/fig_thermo15394.png

(b) Thermodynamic properties

Grüneisen parameters

../../_images/fig_gru_all6662.png

(a) Grüneisen parameters

../../_images/fig_gruneisen6662.png

(b) Phonon dispersion with Grüneisen parameters

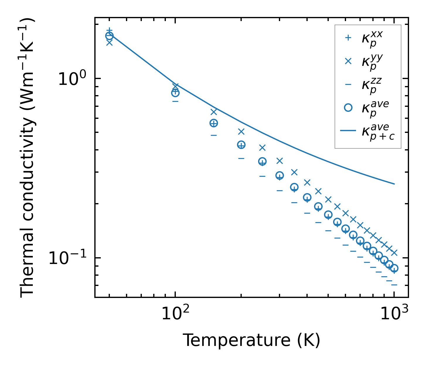
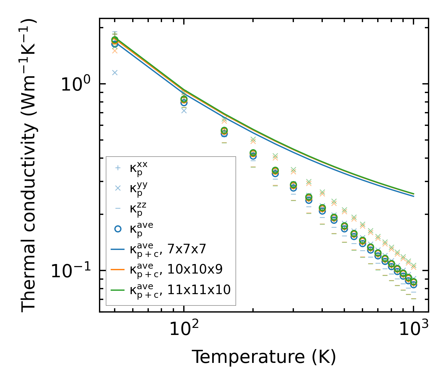
Thermal conductivity

3-phonon (LASSO) — q-mesh: 11x11x10, supercell: 1x3x2

../../_images/fig_kappa12546.png

(a) Temperature-dependent lattice thermal conductivity

../../_images/fig_kappa_vs_grain_size6740.png

(b) Peierls lattice thermal conductivity w.r.t grain size

Phonon lifetime and scattering rates

../../_images/fig_lifetime6596.png

(a) Phonon lifetime due to phonon-phonon scattering

../../_images/fig_scat_rates6595.png

(b) Phonon scattering rates

Cumulative and spectral thermal conductivity

../../_images/fig_cumu_frequency6596.png

(a) Spectral and cumulative thermal conductivity w.r.t frequency

../../_images/fig_cumu_mfp6595.png

(b) Spectral and cumulative thermal conductivity w.r.t MFP

Force constants

../../_images/fig_fc214998.png

(a) Force constants w.r.t atomic distance

Summary

../../_images/fig_kappa12547.png

(a) Temperature-dependent lattice thermal conductivity

../../_images/fig_times25463.png

(b) Computation time