mp-1205297-3/Tb2S3/anharm

Harmonic properties

../../_images/fig_bandos_pr15387.png

(a) Phonon dispersion with participation ratio and DOS

../../_images/fig_thermo15386.png

(b) Thermodynamic properties

Grüneisen parameters

../../_images/fig_gru_all6658.png

(a) Grüneisen parameters

../../_images/fig_gruneisen6658.png

(b) Phonon dispersion with Grüneisen parameters

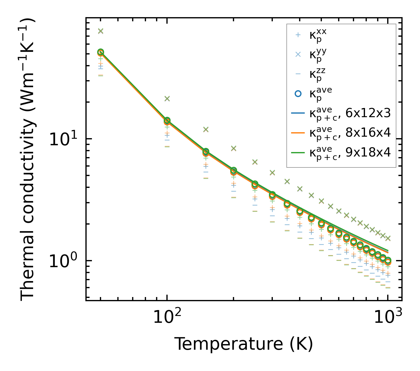
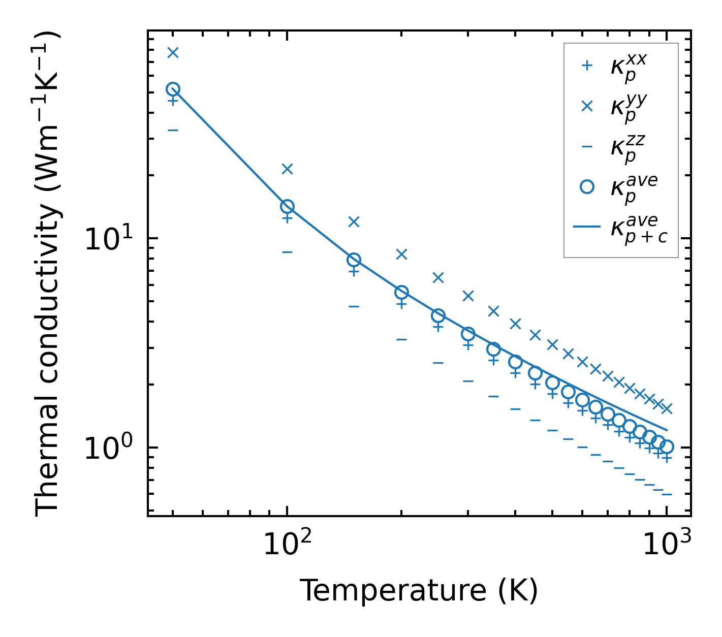
Thermal conductivity

3-phonon (LASSO) — q-mesh: 9x18x4, supercell: 2x3x1

../../_images/fig_kappa12538.png

(a) Temperature-dependent lattice thermal conductivity

../../_images/fig_kappa_vs_grain_size6736.png

(b) Peierls lattice thermal conductivity w.r.t grain size

Phonon lifetime and scattering rates

../../_images/fig_lifetime6592.png

(a) Phonon lifetime due to phonon-phonon scattering

../../_images/fig_scat_rates6591.png

(b) Phonon scattering rates

Cumulative and spectral thermal conductivity

../../_images/fig_cumu_frequency6592.png

(a) Spectral and cumulative thermal conductivity w.r.t frequency

../../_images/fig_cumu_mfp6591.png

(b) Spectral and cumulative thermal conductivity w.r.t MFP

Force constants

../../_images/fig_fc214990.png

(a) Force constants w.r.t atomic distance

Summary

../../_images/fig_kappa12539.png

(a) Temperature-dependent lattice thermal conductivity

../../_images/fig_times25455.png

(b) Computation time