mp-1205363/Ba2NdGaSe5/anharm

Harmonic properties

../../_images/fig_bandos_pr15403.png

(a) Phonon dispersion with participation ratio and DOS

../../_images/fig_thermo15402.png

(b) Thermodynamic properties

Grüneisen parameters

../../_images/fig_gru_all6667.png

(a) Grüneisen parameters

../../_images/fig_gruneisen6667.png

(b) Phonon dispersion with Grüneisen parameters

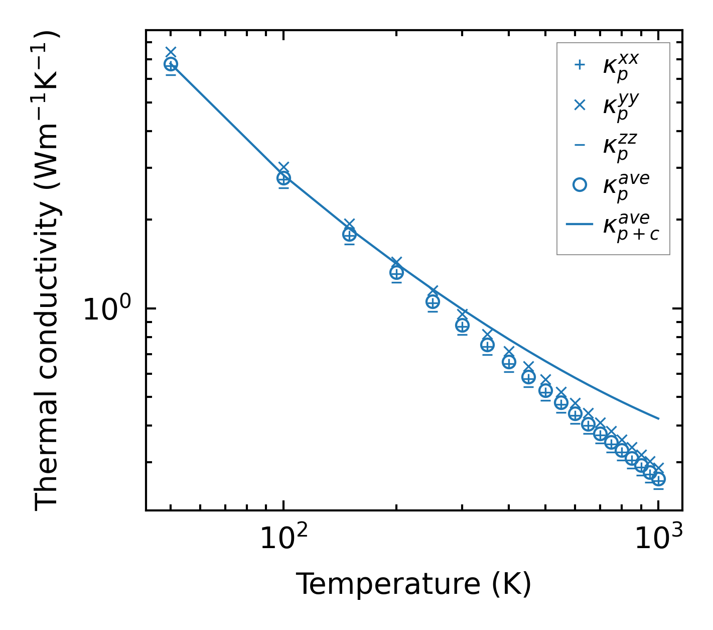
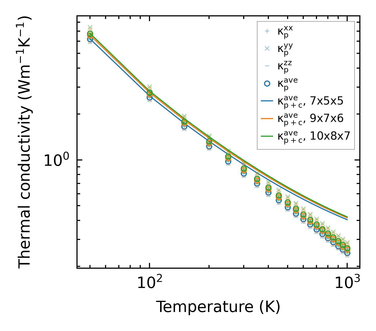
Thermal conductivity

3-phonon (LASSO) — q-mesh: 10x8x7, supercell: 2x2x2

../../_images/fig_kappa12556.png

(a) Temperature-dependent lattice thermal conductivity

../../_images/fig_kappa_vs_grain_size6745.png

(b) Peierls lattice thermal conductivity w.r.t grain size

Phonon lifetime and scattering rates

../../_images/fig_lifetime6601.png

(a) Phonon lifetime due to phonon-phonon scattering

../../_images/fig_scat_rates6600.png

(b) Phonon scattering rates

Cumulative and spectral thermal conductivity

../../_images/fig_cumu_frequency6601.png

(a) Spectral and cumulative thermal conductivity w.r.t frequency

../../_images/fig_cumu_mfp6600.png

(b) Spectral and cumulative thermal conductivity w.r.t MFP

Force constants

../../_images/fig_fc215006.png

(a) Force constants w.r.t atomic distance

Summary

../../_images/fig_kappa12557.png

(a) Temperature-dependent lattice thermal conductivity

../../_images/fig_times25474.png

(b) Computation time