mp-1205337/Ca3Al2P4/anharm

Harmonic properties

../../_images/fig_bandos_pr15396.png

(a) Phonon dispersion with participation ratio and DOS

../../_images/fig_thermo15395.png

(b) Thermodynamic properties

Grüneisen parameters

../../_images/fig_gru_all6663.png

(a) Grüneisen parameters

../../_images/fig_gruneisen6663.png

(b) Phonon dispersion with Grüneisen parameters

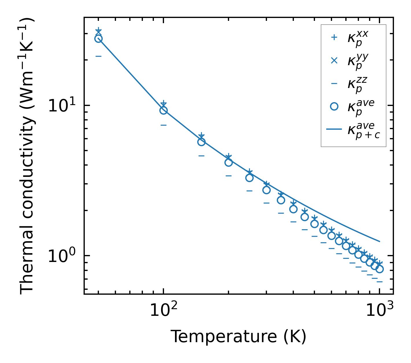
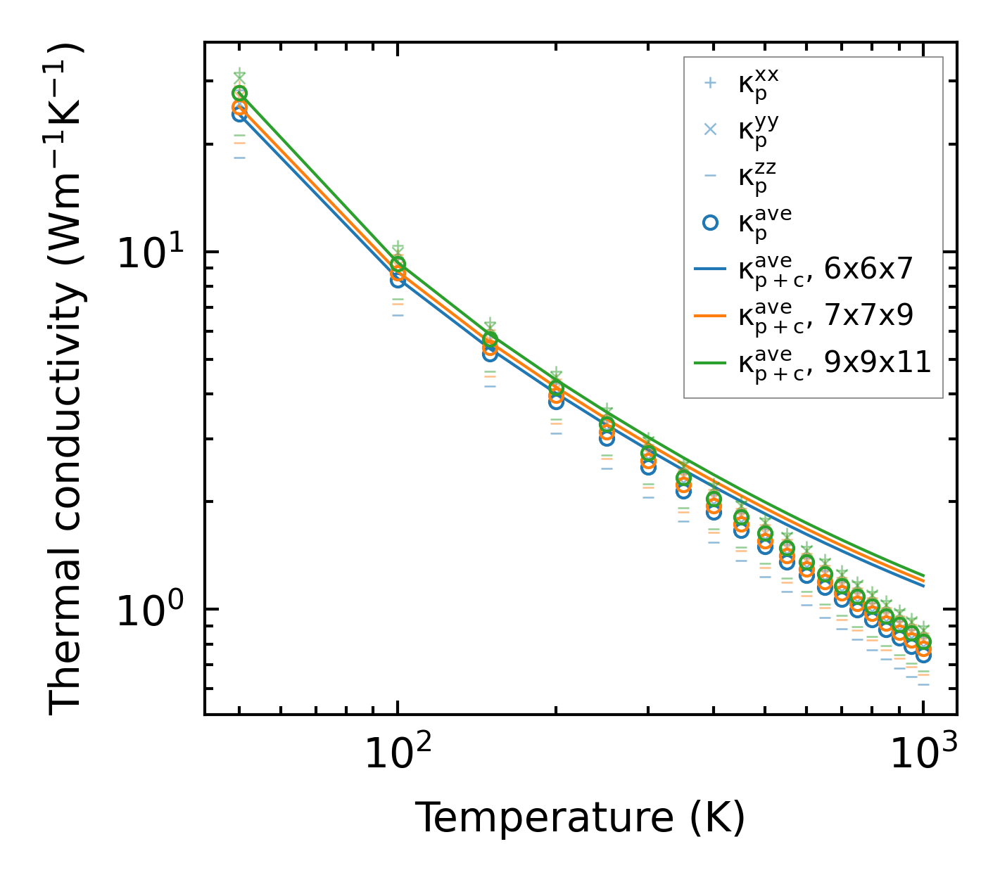
Thermal conductivity

3-phonon (LASSO) — q-mesh: 9x9x11, supercell: 1x2x2

../../_images/fig_kappa12548.png

(a) Temperature-dependent lattice thermal conductivity

../../_images/fig_kappa_vs_grain_size6741.png

(b) Peierls lattice thermal conductivity w.r.t grain size

Phonon lifetime and scattering rates

../../_images/fig_lifetime6597.png

(a) Phonon lifetime due to phonon-phonon scattering

../../_images/fig_scat_rates6596.png

(b) Phonon scattering rates

Cumulative and spectral thermal conductivity

../../_images/fig_cumu_frequency6597.png

(a) Spectral and cumulative thermal conductivity w.r.t frequency

../../_images/fig_cumu_mfp6596.png

(b) Spectral and cumulative thermal conductivity w.r.t MFP

Force constants

../../_images/fig_fc214999.png

(a) Force constants w.r.t atomic distance

Summary

../../_images/fig_kappa12549.png

(a) Temperature-dependent lattice thermal conductivity

../../_images/fig_times25464.png

(b) Computation time