mp-1205600/Ba2NdTaO6/harm

Harmonic properties

../../_images/fig_bandos_pr15418.png

(a) Phonon dispersion with participation ratio and DOS

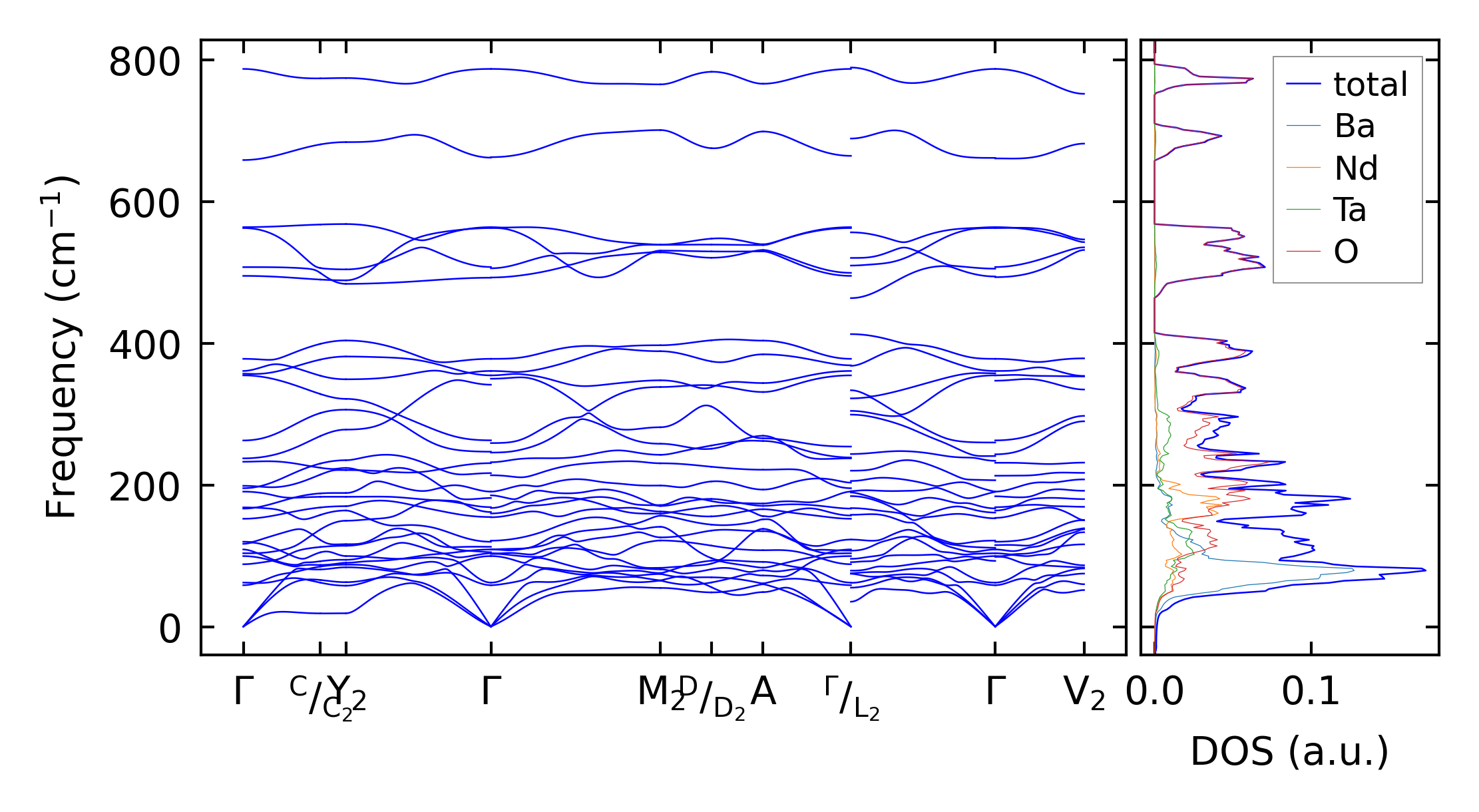
../../_images/fig_bandos19795.png

(b) Phonon dispersion and DOS

../../_images/fig_thermo15417.png

(c) Thermodynamic properties

Force constants

../../_images/fig_fc215021.png

(a) Force constants w.r.t atomic distance

Summary

../../_images/fig_times25494.png

(a) Computation time