mp-1205397/Ba2YInSe5/anharm

Harmonic properties

../../_images/fig_bandos_pr15407.png

(a) Phonon dispersion with participation ratio and DOS

../../_images/fig_thermo15406.png

(b) Thermodynamic properties

Grüneisen parameters

../../_images/fig_gru_all6668.png

(a) Grüneisen parameters

../../_images/fig_gruneisen6668.png

(b) Phonon dispersion with Grüneisen parameters

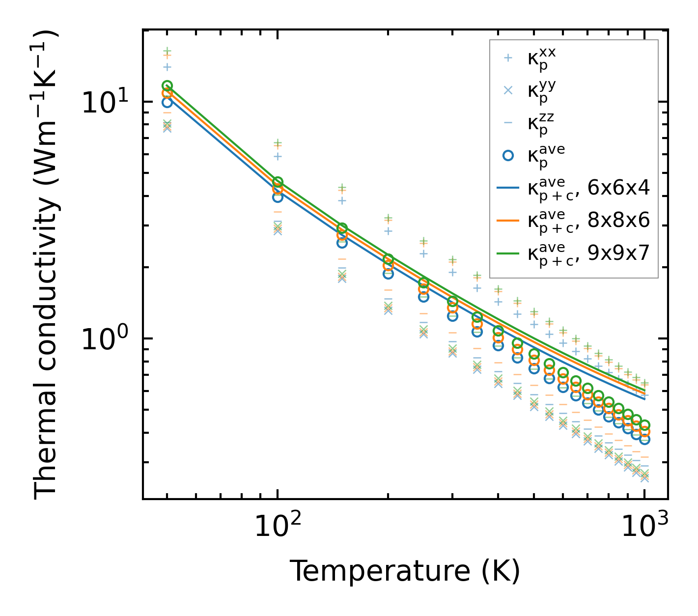
Thermal conductivity

3-phonon (LASSO) — q-mesh: 9x9x7, supercell: 4x1x1

../../_images/fig_kappa12558.png

(a) Temperature-dependent lattice thermal conductivity

../../_images/fig_kappa_vs_grain_size6746.png

(b) Peierls lattice thermal conductivity w.r.t grain size

Phonon lifetime and scattering rates

../../_images/fig_lifetime6602.png

(a) Phonon lifetime due to phonon-phonon scattering

../../_images/fig_scat_rates6601.png

(b) Phonon scattering rates

Cumulative and spectral thermal conductivity

../../_images/fig_cumu_frequency6602.png

(a) Spectral and cumulative thermal conductivity w.r.t frequency

../../_images/fig_cumu_mfp6601.png

(b) Spectral and cumulative thermal conductivity w.r.t MFP

Force constants

../../_images/fig_fc215010.png

(a) Force constants w.r.t atomic distance

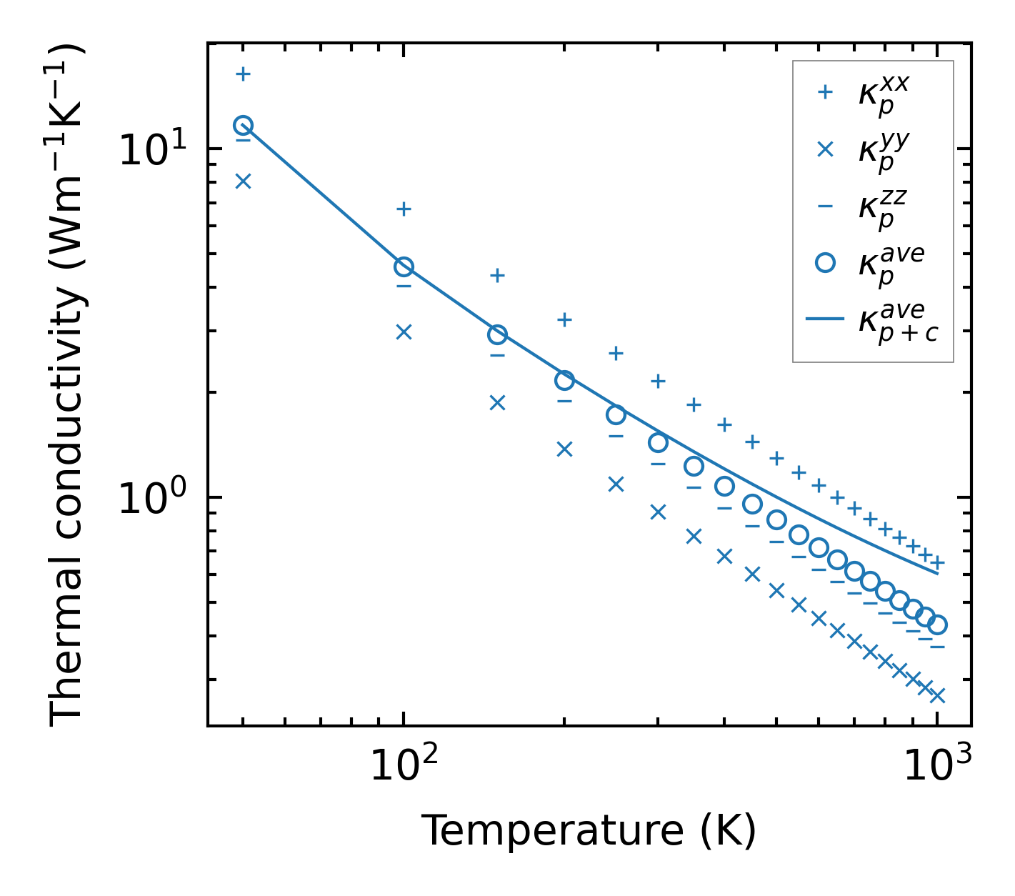
Summary

../../_images/fig_kappa12559.png

(a) Temperature-dependent lattice thermal conductivity

../../_images/fig_times25481.png

(b) Computation time