mp-1205321/PtS/anharm

Harmonic properties

../../_images/fig_bandos_pr15390.png

(a) Phonon dispersion with participation ratio and DOS

../../_images/fig_thermo15389.png

(b) Thermodynamic properties

Grüneisen parameters

../../_images/fig_gru_all6660.png

(a) Grüneisen parameters

../../_images/fig_gruneisen6660.png

(b) Phonon dispersion with Grüneisen parameters

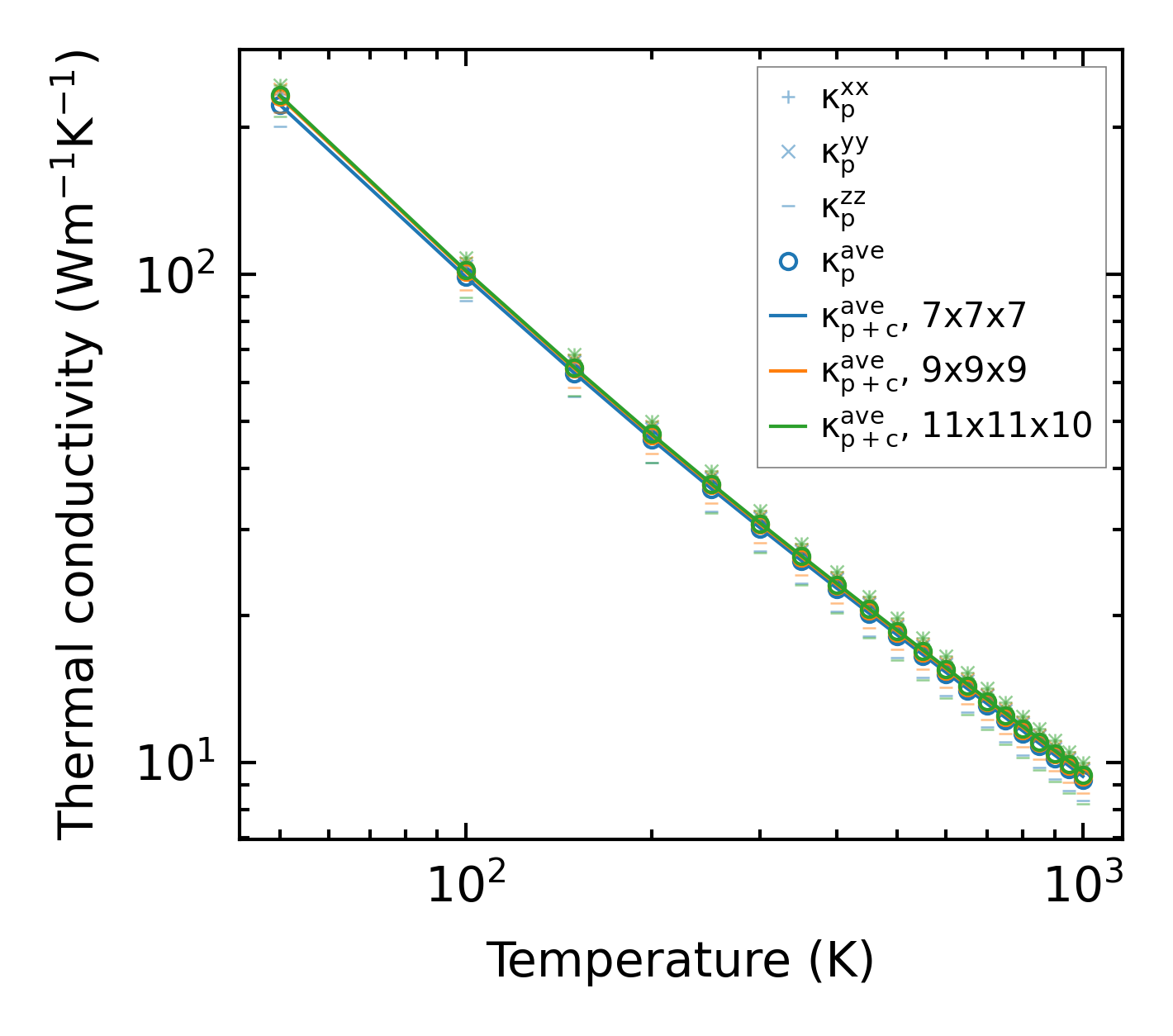
Thermal conductivity

3-phonon (LASSO) — q-mesh: 11x11x10, supercell: 2x2x2

../../_images/fig_kappa12542.png

(a) Temperature-dependent lattice thermal conductivity

../../_images/fig_kappa_vs_grain_size6738.png

(b) Peierls lattice thermal conductivity w.r.t grain size

Phonon lifetime and scattering rates

../../_images/fig_lifetime6594.png

(a) Phonon lifetime due to phonon-phonon scattering

../../_images/fig_scat_rates6593.png

(b) Phonon scattering rates

Cumulative and spectral thermal conductivity

../../_images/fig_cumu_frequency6594.png

(a) Spectral and cumulative thermal conductivity w.r.t frequency

../../_images/fig_cumu_mfp6593.png

(b) Spectral and cumulative thermal conductivity w.r.t MFP

Force constants

../../_images/fig_fc214993.png

(a) Force constants w.r.t atomic distance

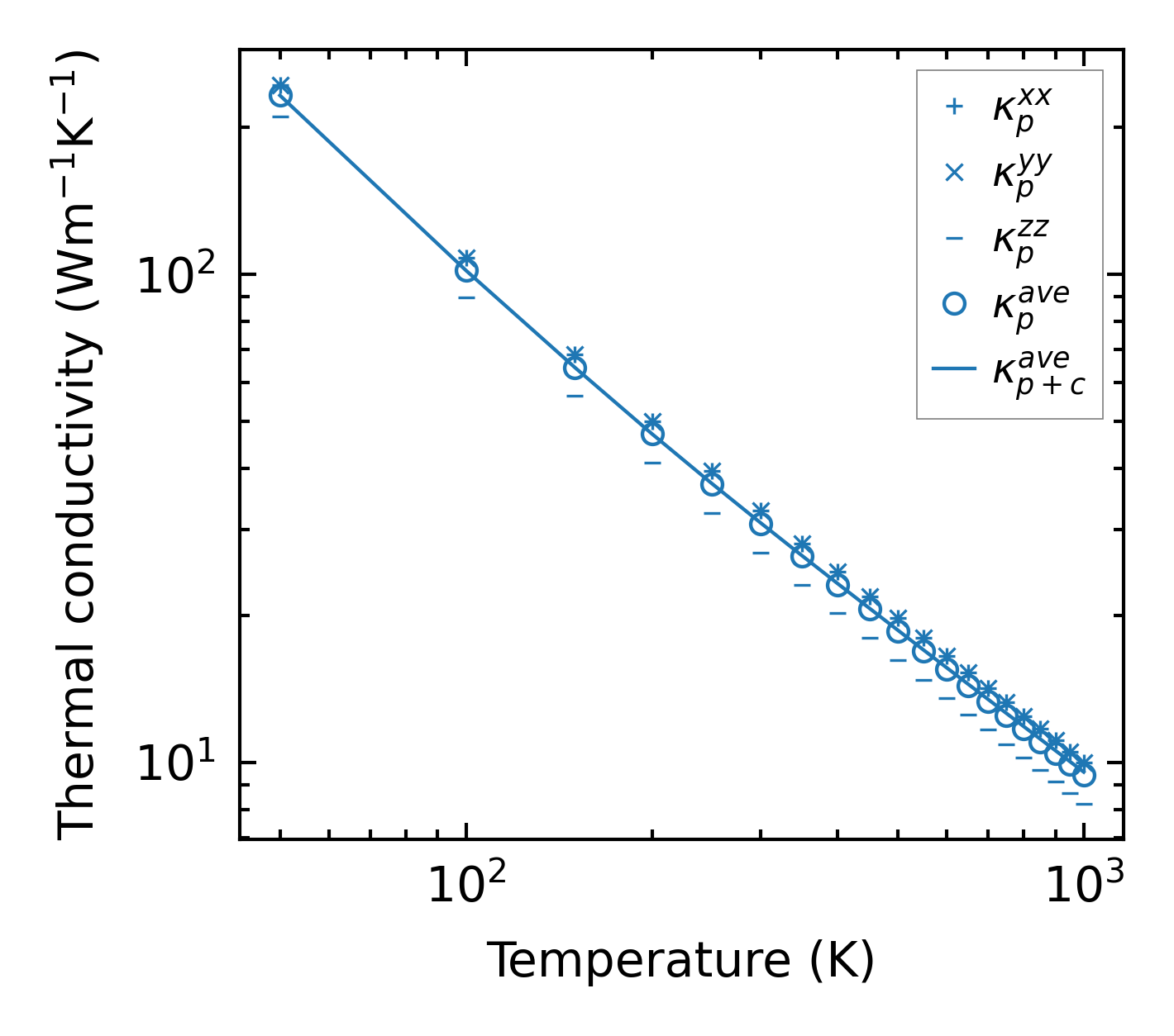
Summary

../../_images/fig_kappa12543.png

(a) Temperature-dependent lattice thermal conductivity

../../_images/fig_times25458.png

(b) Computation time