mp-680679-3/K2Ho4Cu4S9/anharm

Equation of state

../../_images/fig_bm2539.png

(a) Equation of state

Harmonic properties

../../_images/fig_bandos_pr5176.png

(a) Phonon dispersion with participation ratio and DOS

../../_images/fig_thermo5176.png

(b) Thermodynamic properties

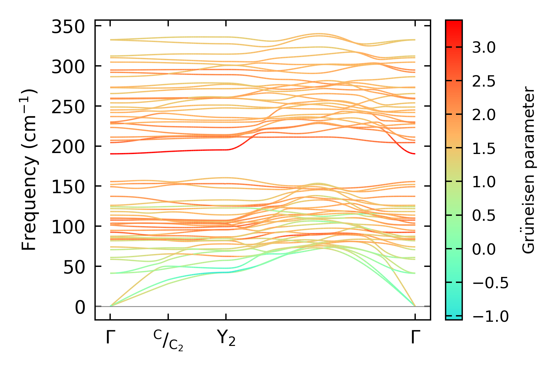
Grüneisen parameters

../../_images/fig_gru_all2168.png

(a) Grüneisen parameters

../../_images/fig_gruneisen2168.png

(b) Phonon dispersion with Grüneisen parameters

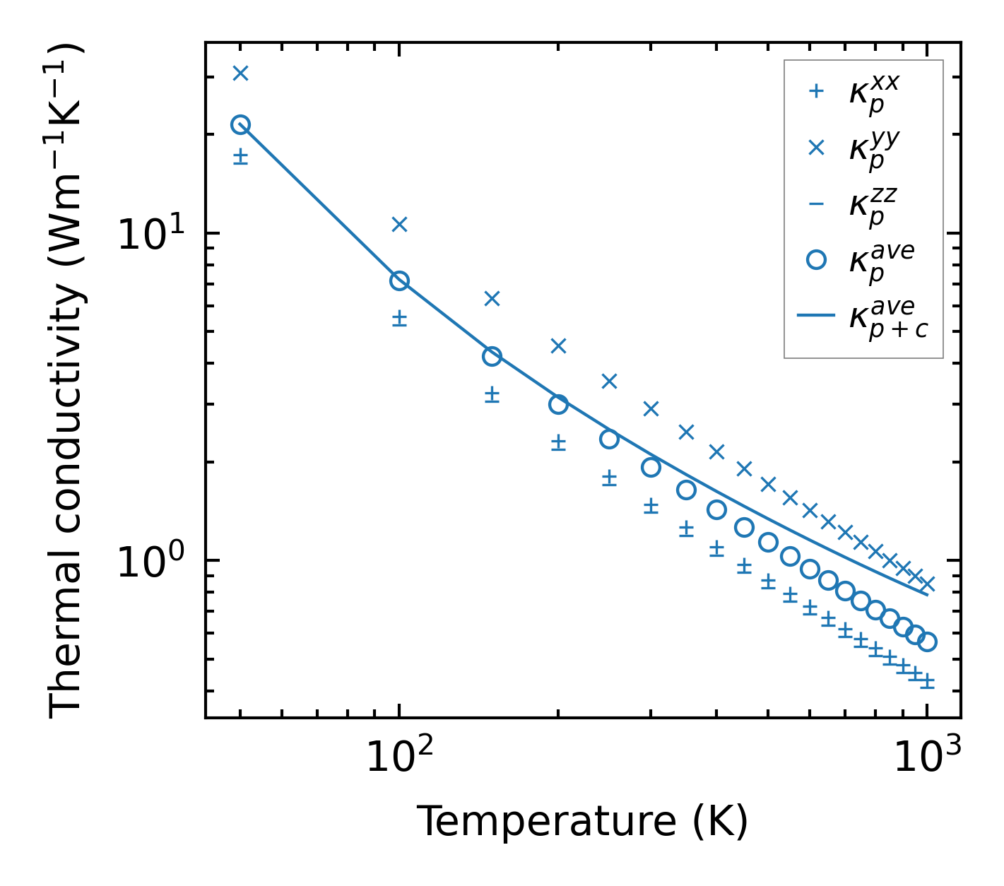
Thermal conductivity

3-phonon (LASSO) — q-mesh: 12x12x5, supercell: 1x3x1

../../_images/fig_kappa4153.png

(a) Temperature-dependent lattice thermal conductivity

../../_images/fig_kappa_vs_grain_size2200.png

(b) Peierls lattice thermal conductivity w.r.t grain size

Phonon lifetime and scattering rates

../../_images/fig_lifetime2155.png

(a) Phonon lifetime due to phonon-phonon scattering

../../_images/fig_scat_rates2154.png

(b) Phonon scattering rates

Cumulative and spectral thermal conductivity

../../_images/fig_cumu_frequency2155.png

(a) Spectral and cumulative thermal conductivity w.r.t frequency

../../_images/fig_cumu_mfp2155.png

(b) Spectral and cumulative thermal conductivity w.r.t MFP

Force constants

../../_images/fig_fc24981.png

(a) Force constants w.r.t atomic distance

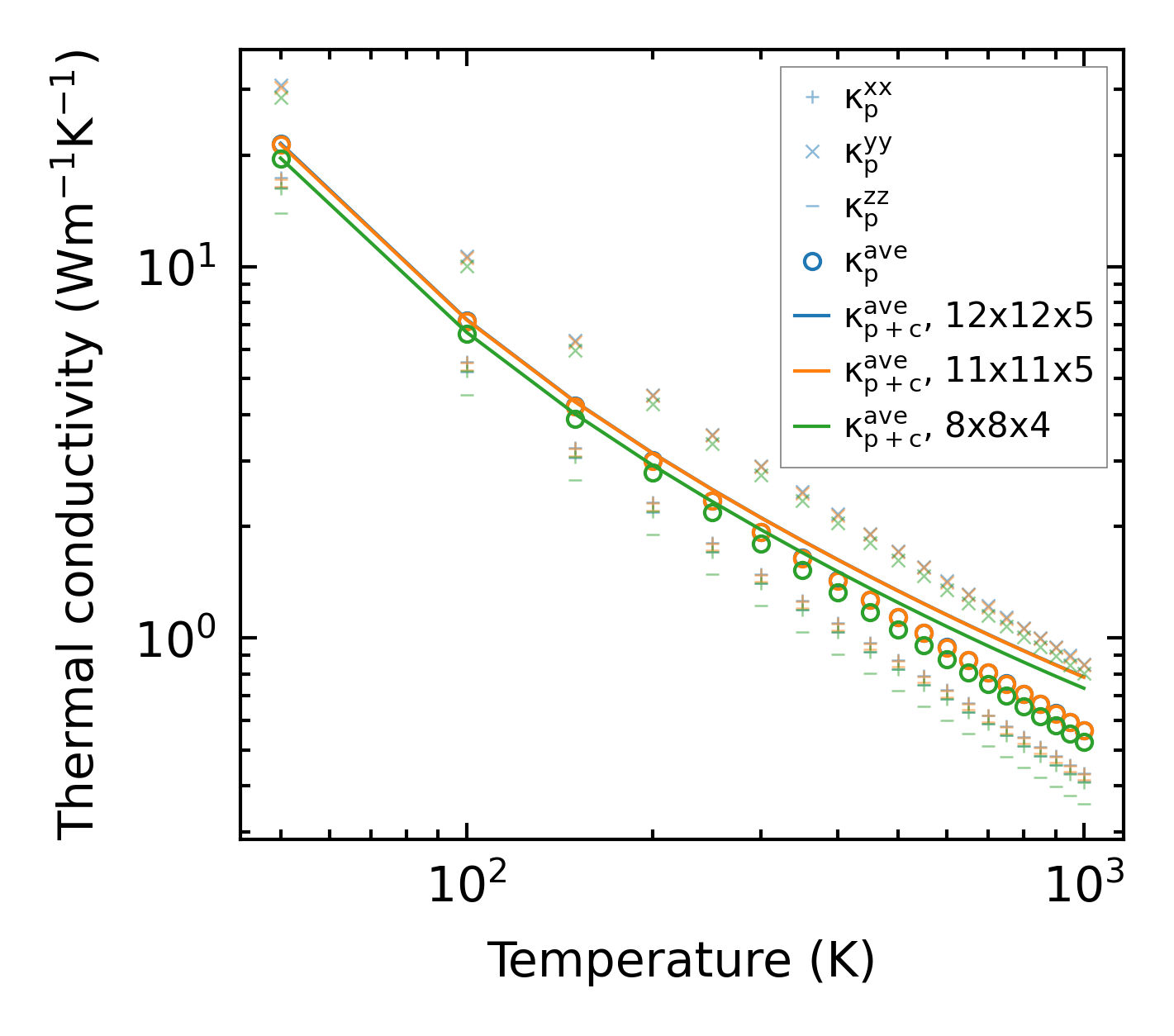
Summary

../../_images/fig_kappa4154.png

(a) Temperature-dependent lattice thermal conductivity

../../_images/fig_times9300.png

(b) Computation time