mp-680679-2/K2Ho4Cu4S9/anharm

Equation of state

../../_images/fig_bm2538.png

(a) Equation of state

Harmonic properties

../../_images/fig_bandos_pr5175.png

(a) Phonon dispersion with participation ratio and DOS

../../_images/fig_thermo5175.png

(b) Thermodynamic properties

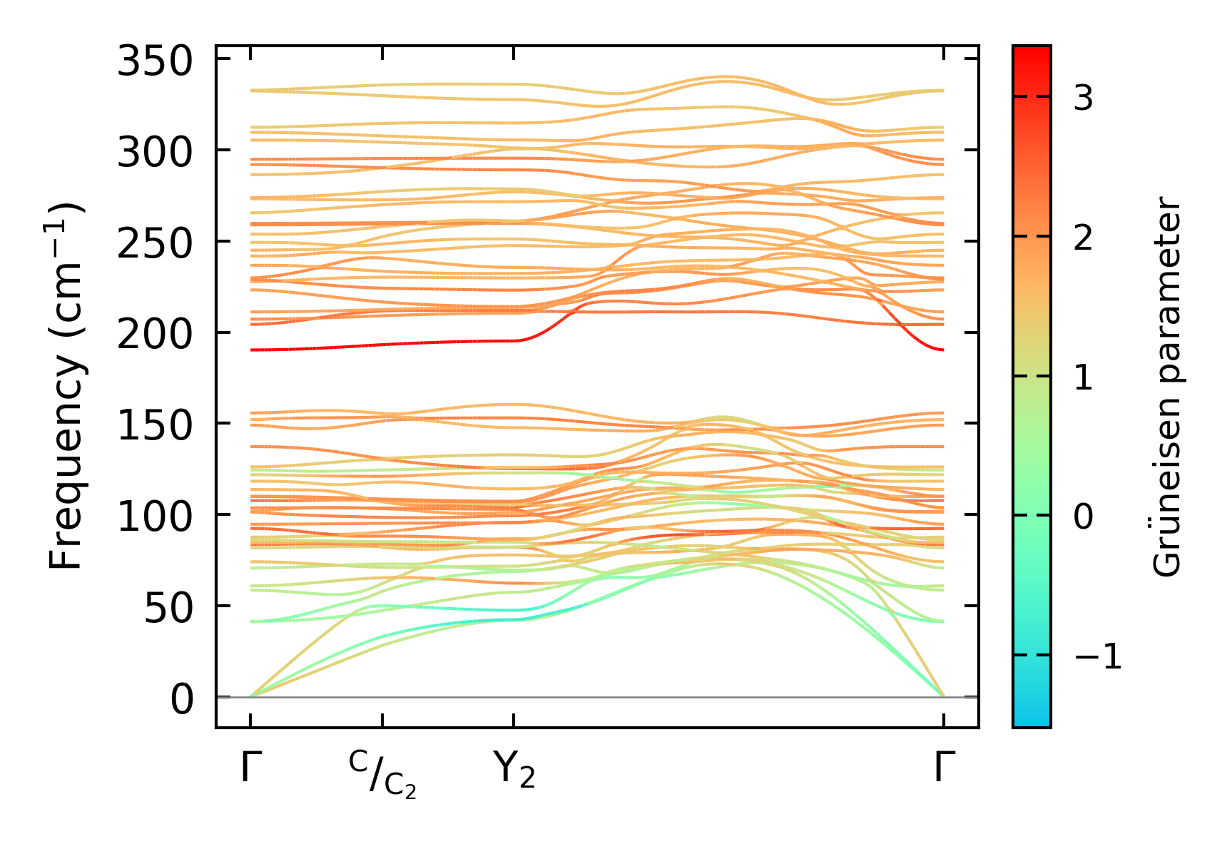
Grüneisen parameters

../../_images/fig_gru_all2167.png

(a) Grüneisen parameters

../../_images/fig_gruneisen2167.png

(b) Phonon dispersion with Grüneisen parameters

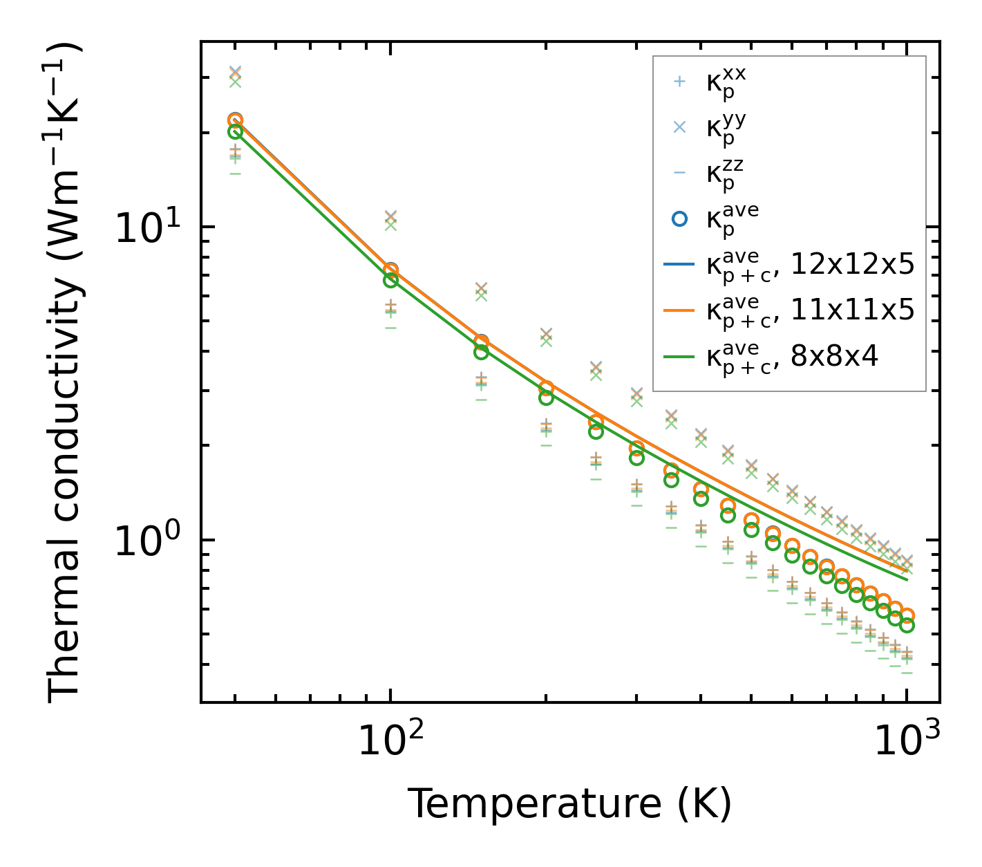
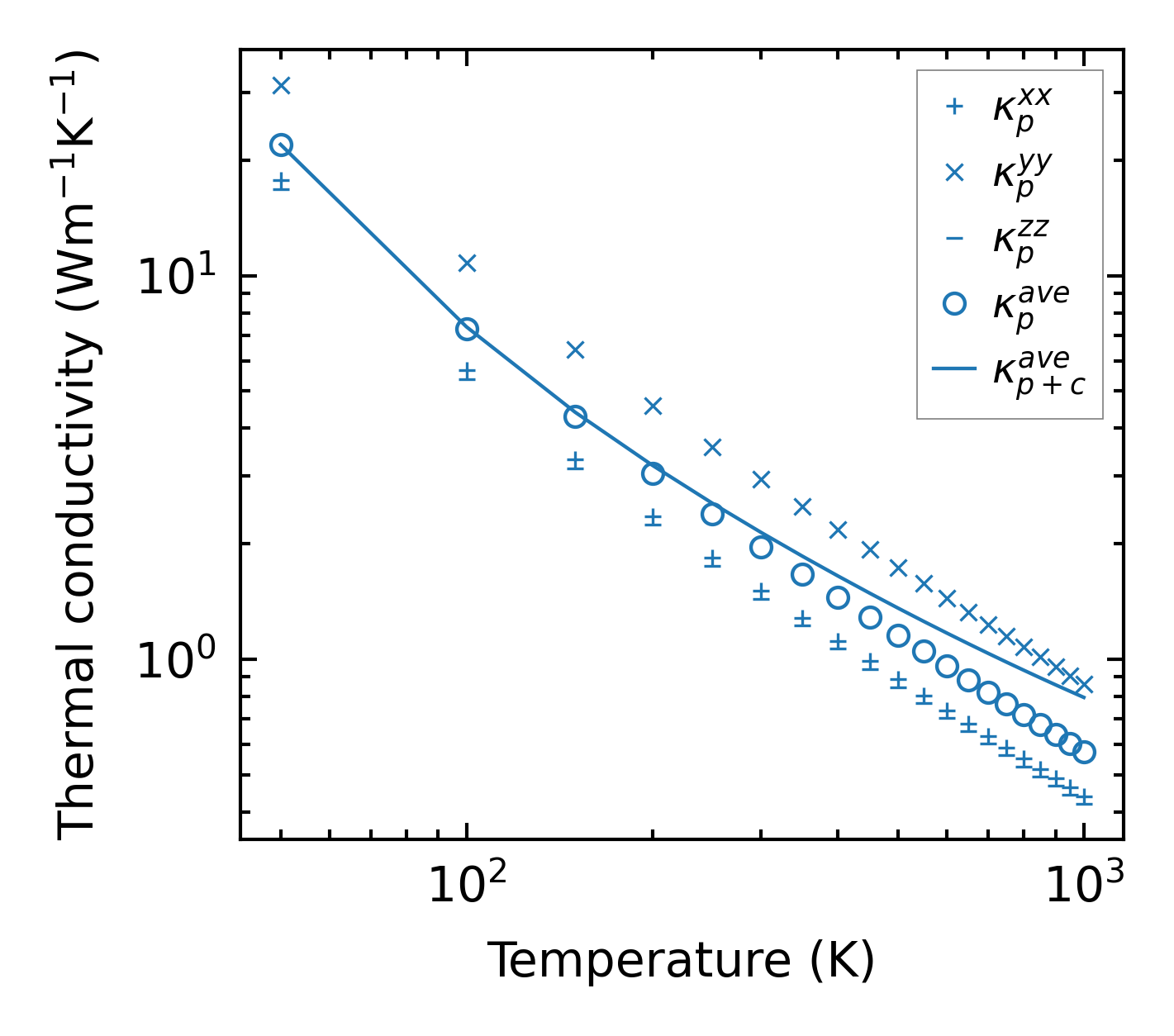
Thermal conductivity

3-phonon (LASSO) — q-mesh: 12x12x5, supercell: 1x3x1

../../_images/fig_kappa4151.png

(a) Temperature-dependent lattice thermal conductivity

../../_images/fig_kappa_vs_grain_size2199.png

(b) Peierls lattice thermal conductivity w.r.t grain size

Phonon lifetime and scattering rates

../../_images/fig_lifetime2154.png

(a) Phonon lifetime due to phonon-phonon scattering

../../_images/fig_scat_rates2153.png

(b) Phonon scattering rates

Cumulative and spectral thermal conductivity

../../_images/fig_cumu_frequency2154.png

(a) Spectral and cumulative thermal conductivity w.r.t frequency

../../_images/fig_cumu_mfp2154.png

(b) Spectral and cumulative thermal conductivity w.r.t MFP

Force constants

../../_images/fig_fc24980.png

(a) Force constants w.r.t atomic distance

Summary

../../_images/fig_kappa4152.png

(a) Temperature-dependent lattice thermal conductivity

../../_images/fig_times9299.png

(b) Computation time