mp-680436/Rb2LiSn4/anharm

Harmonic properties

../../_images/fig_bandos_pr5166.png

(a) Phonon dispersion with participation ratio and DOS

../../_images/fig_thermo5166.png

(b) Thermodynamic properties

Grüneisen parameters

../../_images/fig_gru_all2162.png

(a) Grüneisen parameters

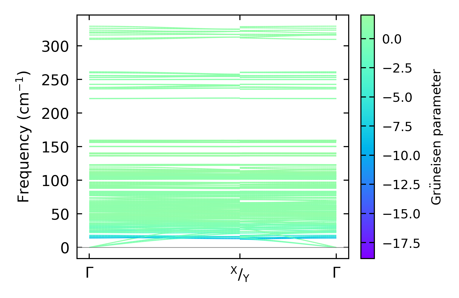
../../_images/fig_gruneisen2162.png

(b) Phonon dispersion with Grüneisen parameters

Thermal conductivity

3-phonon (LASSO) — q-mesh: 7x5x4, supercell: 2x1x1

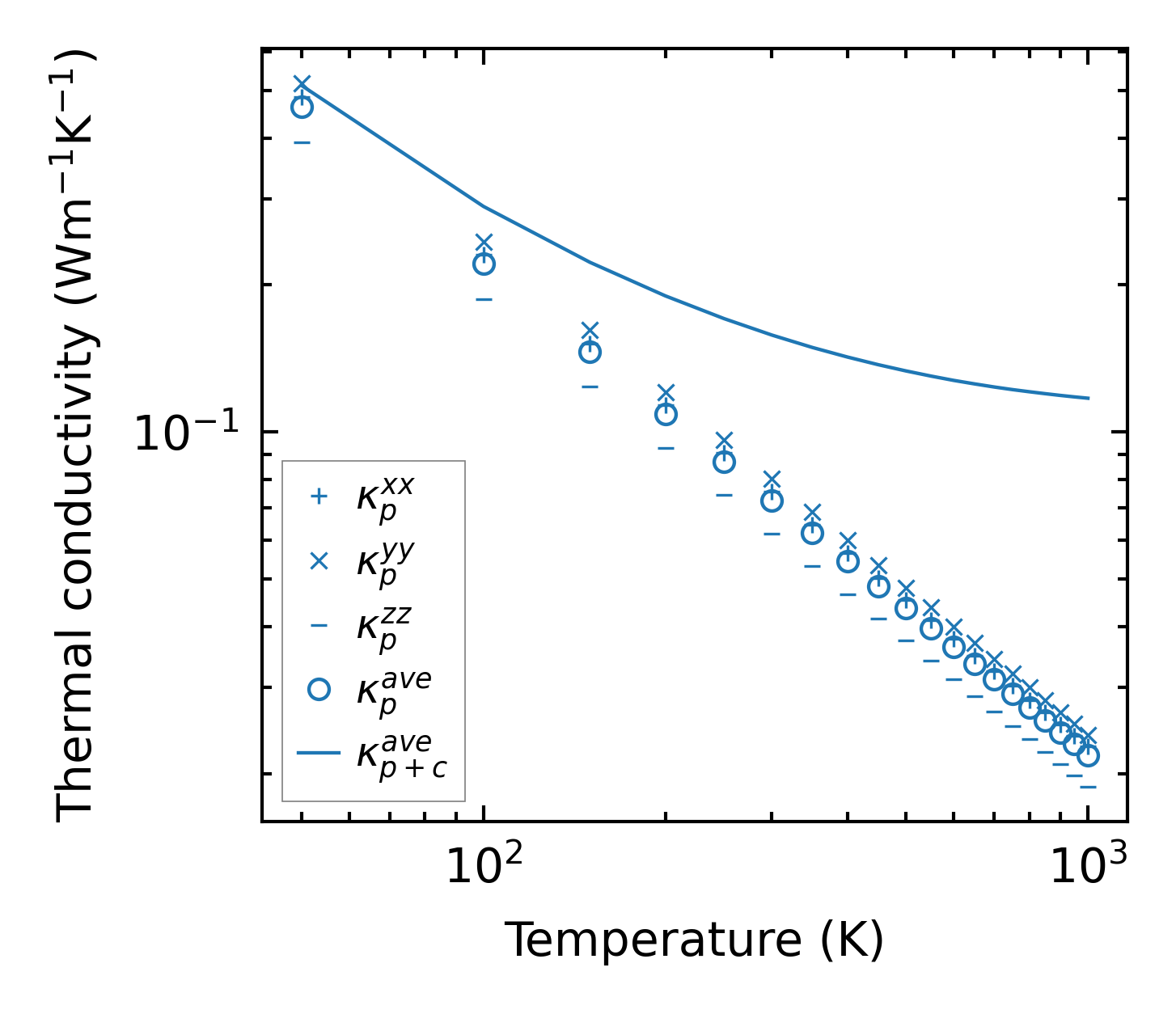
../../_images/fig_kappa4141.png

(a) Temperature-dependent lattice thermal conductivity

../../_images/fig_kappa_vs_grain_size2194.png

(b) Peierls lattice thermal conductivity w.r.t grain size

Phonon lifetime and scattering rates

../../_images/fig_lifetime2149.png

(a) Phonon lifetime due to phonon-phonon scattering

../../_images/fig_scat_rates2148.png

(b) Phonon scattering rates

Cumulative and spectral thermal conductivity

../../_images/fig_cumu_frequency2149.png

(a) Spectral and cumulative thermal conductivity w.r.t frequency

../../_images/fig_cumu_mfp2149.png

(b) Spectral and cumulative thermal conductivity w.r.t MFP

Force constants

../../_images/fig_fc24971.png

(a) Force constants w.r.t atomic distance

Summary

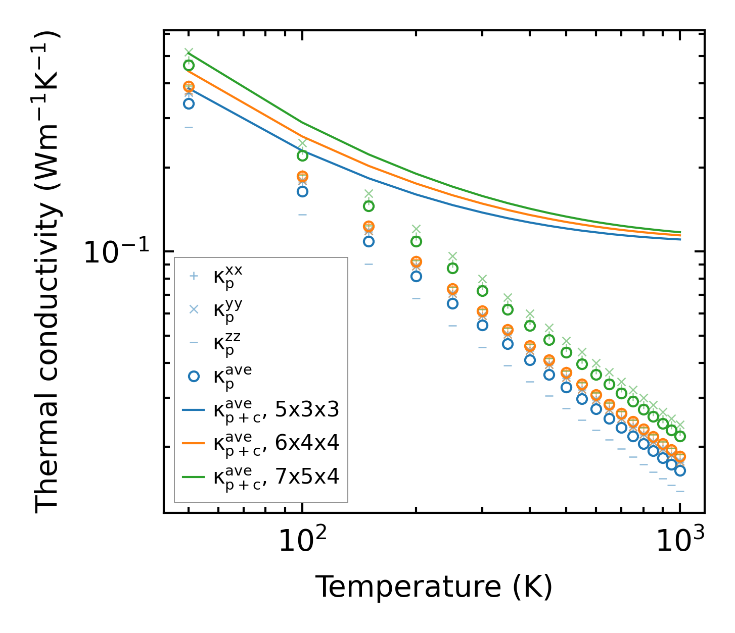
../../_images/fig_kappa4142.png

(a) Temperature-dependent lattice thermal conductivity

../../_images/fig_times9284.png

(b) Computation time