mp-680676/K2Dy4Cu4S9/anharm

Harmonic properties

../../_images/fig_bandos_pr5172.png

(a) Phonon dispersion with participation ratio and DOS

../../_images/fig_thermo5172.png

(b) Thermodynamic properties

Grüneisen parameters

../../_images/fig_gru_all2164.png

(a) Grüneisen parameters

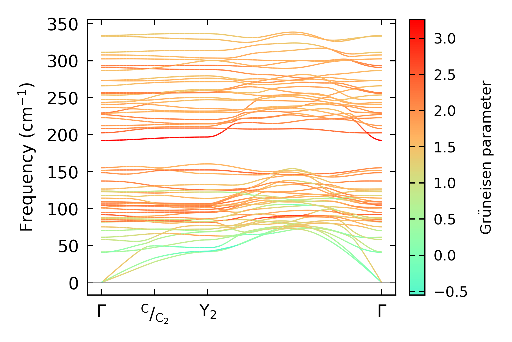
../../_images/fig_gruneisen2164.png

(b) Phonon dispersion with Grüneisen parameters

Thermal conductivity

3-phonon (LASSO) — q-mesh: 12x12x5, supercell: 1x3x1

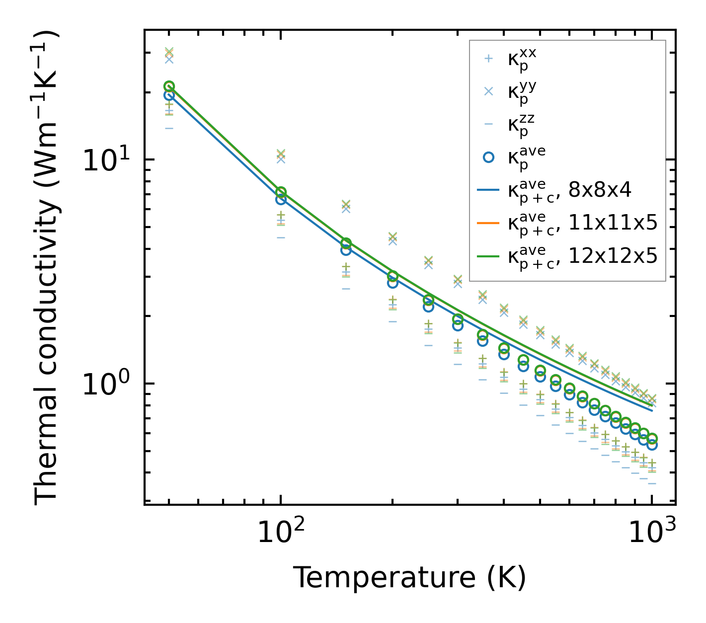
../../_images/fig_kappa4145.png

(a) Temperature-dependent lattice thermal conductivity

../../_images/fig_kappa_vs_grain_size2196.png

(b) Peierls lattice thermal conductivity w.r.t grain size

Phonon lifetime and scattering rates

../../_images/fig_lifetime2151.png

(a) Phonon lifetime due to phonon-phonon scattering

../../_images/fig_scat_rates2150.png

(b) Phonon scattering rates

Cumulative and spectral thermal conductivity

../../_images/fig_cumu_frequency2151.png

(a) Spectral and cumulative thermal conductivity w.r.t frequency

../../_images/fig_cumu_mfp2151.png

(b) Spectral and cumulative thermal conductivity w.r.t MFP

Force constants

../../_images/fig_fc24977.png

(a) Force constants w.r.t atomic distance

Summary

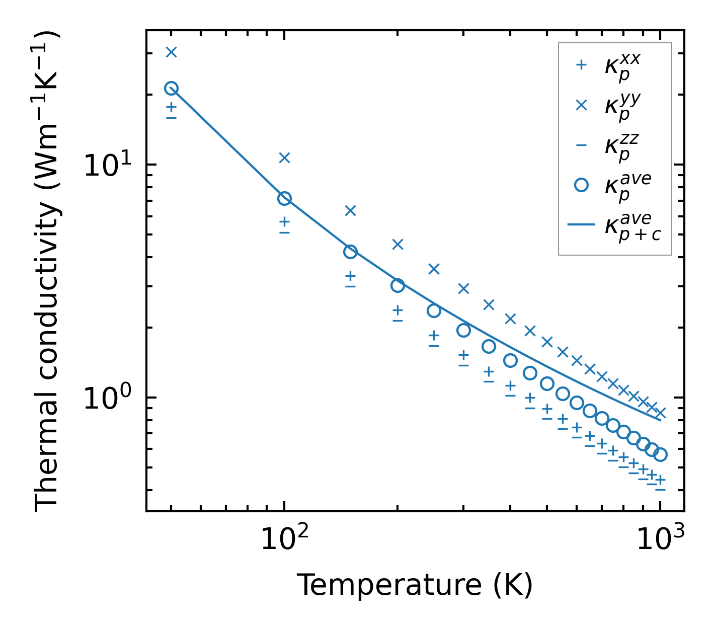
../../_images/fig_kappa4146.png

(a) Temperature-dependent lattice thermal conductivity

../../_images/fig_times9296.png

(b) Computation time