mp-680205/PbI2/anharm

Harmonic properties

../../_images/fig_bandos_pr5149.png

(a) Phonon dispersion with participation ratio and DOS

../../_images/fig_thermo5149.png

(b) Thermodynamic properties

Grüneisen parameters

../../_images/fig_gru_all2154.png

(a) Grüneisen parameters

../../_images/fig_gruneisen2154.png

(b) Phonon dispersion with Grüneisen parameters

Thermal conductivity

3-phonon (LASSO) — q-mesh: 16x16x1, supercell: 1x1x1

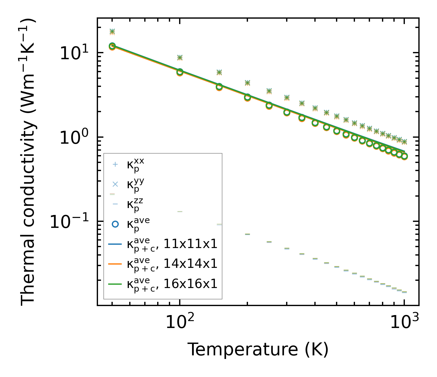
../../_images/fig_kappa4128.png

(a) Temperature-dependent lattice thermal conductivity

../../_images/fig_kappa_vs_grain_size2186.png

(b) Peierls lattice thermal conductivity w.r.t grain size

Phonon lifetime and scattering rates

../../_images/fig_lifetime2141.png

(a) Phonon lifetime due to phonon-phonon scattering

../../_images/fig_scat_rates2140.png

(b) Phonon scattering rates

Cumulative and spectral thermal conductivity

../../_images/fig_cumu_frequency2141.png

(a) Spectral and cumulative thermal conductivity w.r.t frequency

../../_images/fig_cumu_mfp2141.png

(b) Spectral and cumulative thermal conductivity w.r.t MFP

Force constants

../../_images/fig_fc24954.png

(a) Force constants w.r.t atomic distance

Summary

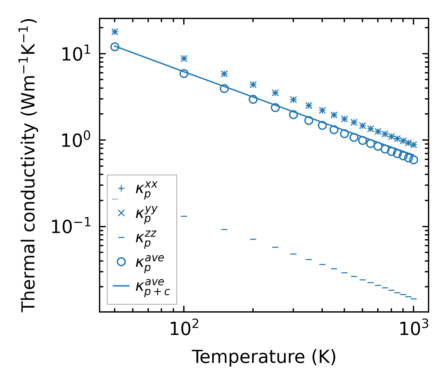
../../_images/fig_kappa4129.png

(a) Temperature-dependent lattice thermal conductivity

../../_images/fig_times9261.png

(b) Computation time