mp-680334/LaSbS2Br2/anharm

Harmonic properties

../../_images/fig_bandos_pr5157.png

(a) Phonon dispersion with participation ratio and DOS

../../_images/fig_thermo5157.png

(b) Thermodynamic properties

Grüneisen parameters

../../_images/fig_gru_all2157.png

(a) Grüneisen parameters

../../_images/fig_gruneisen2157.png

(b) Phonon dispersion with Grüneisen parameters

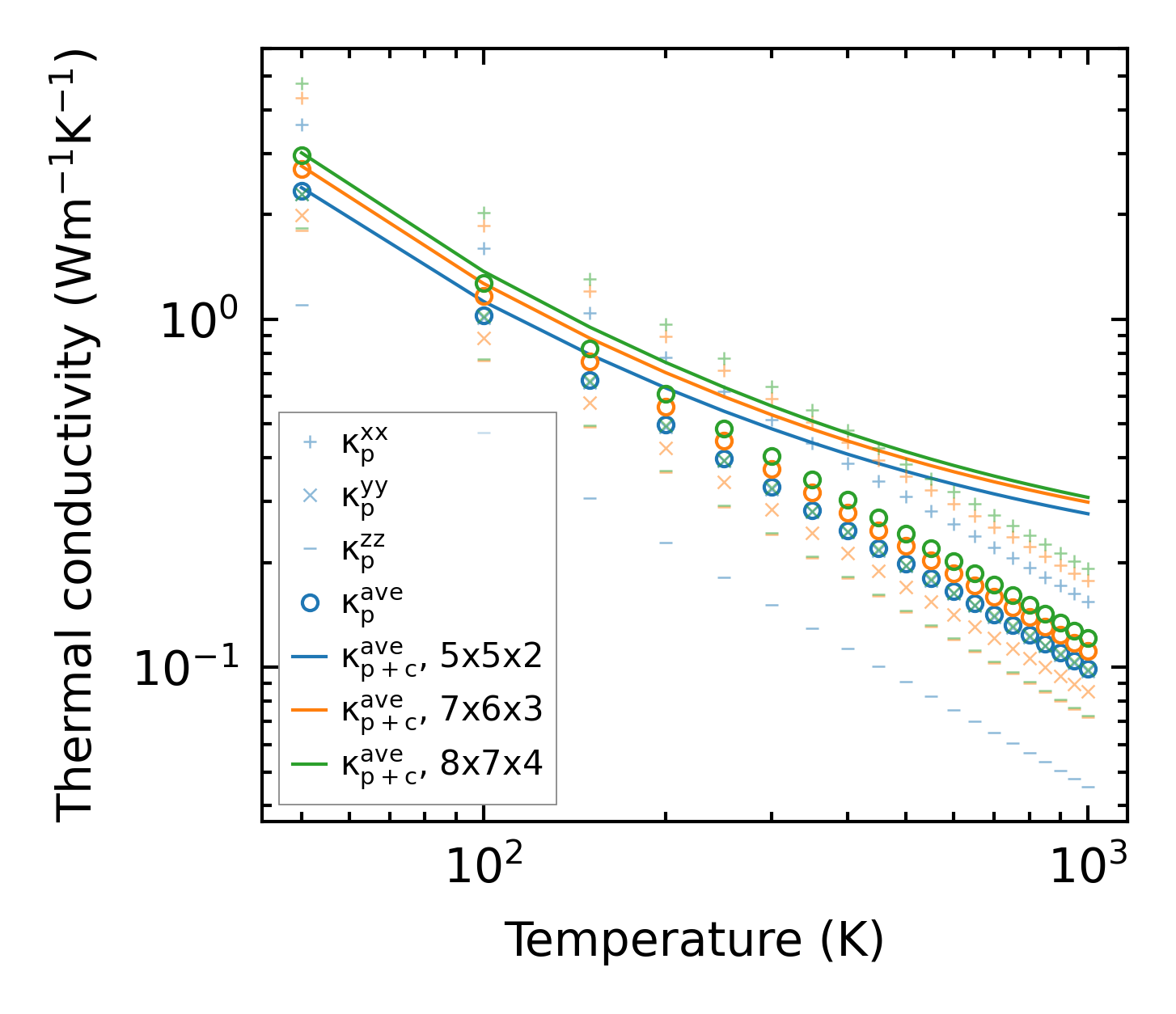
Thermal conductivity

3-phonon (LASSO) — q-mesh: 8x7x4, supercell: 2x1x1

../../_images/fig_kappa4132.png

(a) Temperature-dependent lattice thermal conductivity

../../_images/fig_kappa_vs_grain_size2189.png

(b) Peierls lattice thermal conductivity w.r.t grain size

Phonon lifetime and scattering rates

../../_images/fig_lifetime2144.png

(a) Phonon lifetime due to phonon-phonon scattering

../../_images/fig_scat_rates2143.png

(b) Phonon scattering rates

Cumulative and spectral thermal conductivity

../../_images/fig_cumu_frequency2144.png

(a) Spectral and cumulative thermal conductivity w.r.t frequency

../../_images/fig_cumu_mfp2144.png

(b) Spectral and cumulative thermal conductivity w.r.t MFP

Force constants

../../_images/fig_fc24962.png

(a) Force constants w.r.t atomic distance

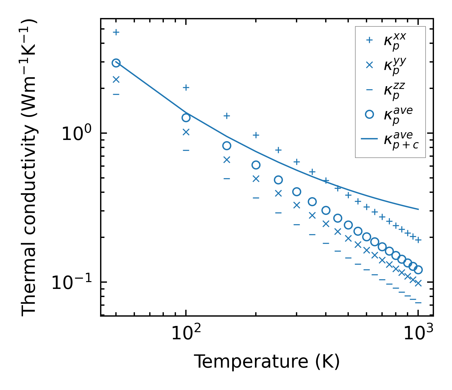
Summary

../../_images/fig_kappa4133.png

(a) Temperature-dependent lattice thermal conductivity

../../_images/fig_times9273.png

(b) Computation time