mp-680146/CdI2/anharm

Equation of state

../../_images/fig_bm2529.png

(a) Equation of state

Harmonic properties

../../_images/fig_bandos_pr5145.png

(a) Phonon dispersion with participation ratio and DOS

../../_images/fig_thermo5145.png

(b) Thermodynamic properties

Grüneisen parameters

../../_images/fig_gru_all2152.png

(a) Grüneisen parameters

../../_images/fig_gruneisen2152.png

(b) Phonon dispersion with Grüneisen parameters

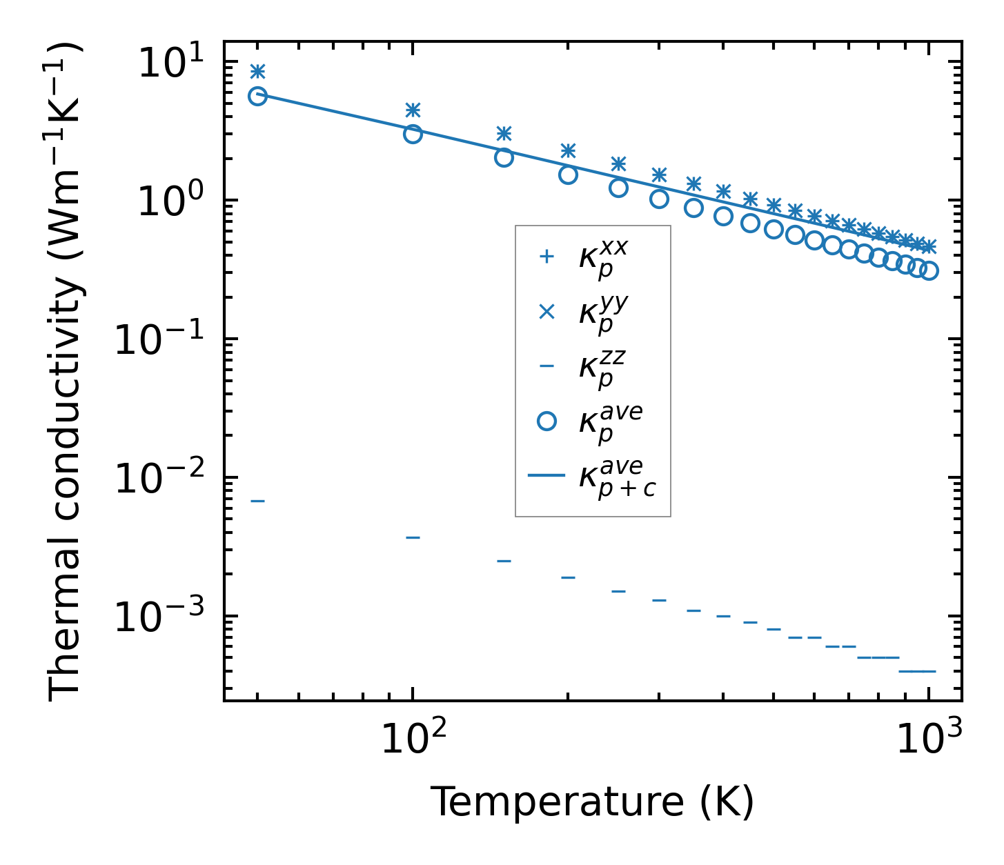
Thermal conductivity

3-phonon (LASSO) — q-mesh: 17x17x1, supercell: 1x1x1

../../_images/fig_kappa4124.png

(a) Temperature-dependent lattice thermal conductivity

../../_images/fig_kappa_vs_grain_size2184.png

(b) Peierls lattice thermal conductivity w.r.t grain size

Phonon lifetime and scattering rates

../../_images/fig_lifetime2139.png

(a) Phonon lifetime due to phonon-phonon scattering

../../_images/fig_scat_rates2138.png

(b) Phonon scattering rates

Cumulative and spectral thermal conductivity

../../_images/fig_cumu_frequency2139.png

(a) Spectral and cumulative thermal conductivity w.r.t frequency

../../_images/fig_cumu_mfp2139.png

(b) Spectral and cumulative thermal conductivity w.r.t MFP

Force constants

../../_images/fig_fc24950.png

(a) Force constants w.r.t atomic distance

Summary

../../_images/fig_kappa4125.png

(a) Temperature-dependent lattice thermal conductivity

../../_images/fig_times9249.png

(b) Computation time