mp-680676-2/K2Dy4Cu4S9/anharm

Equation of state

../../_images/fig_bm2537.png

(a) Equation of state

Harmonic properties

../../_images/fig_bandos_pr5173.png

(a) Phonon dispersion with participation ratio and DOS

../../_images/fig_thermo5173.png

(b) Thermodynamic properties

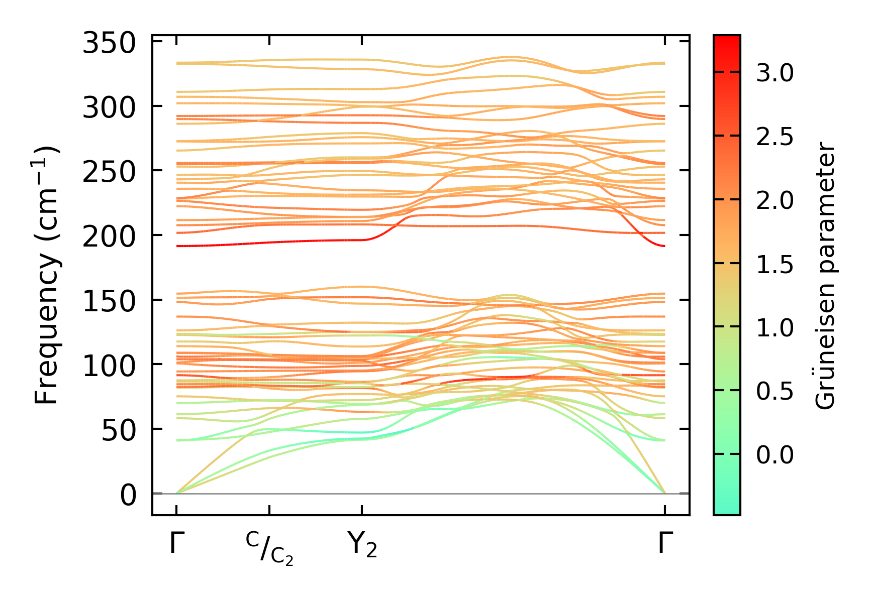
Grüneisen parameters

../../_images/fig_gru_all2165.png

(a) Grüneisen parameters

../../_images/fig_gruneisen2165.png

(b) Phonon dispersion with Grüneisen parameters

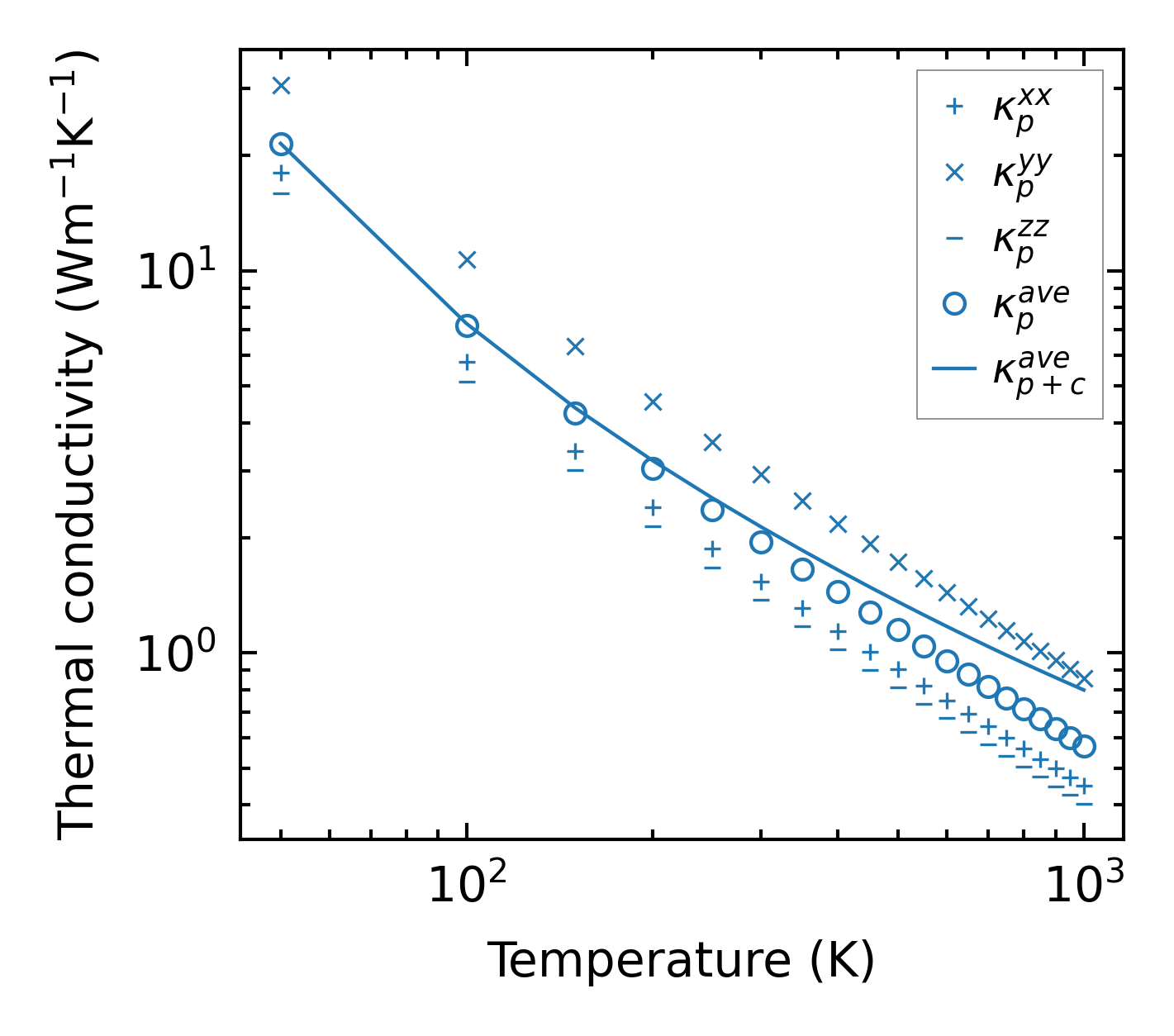
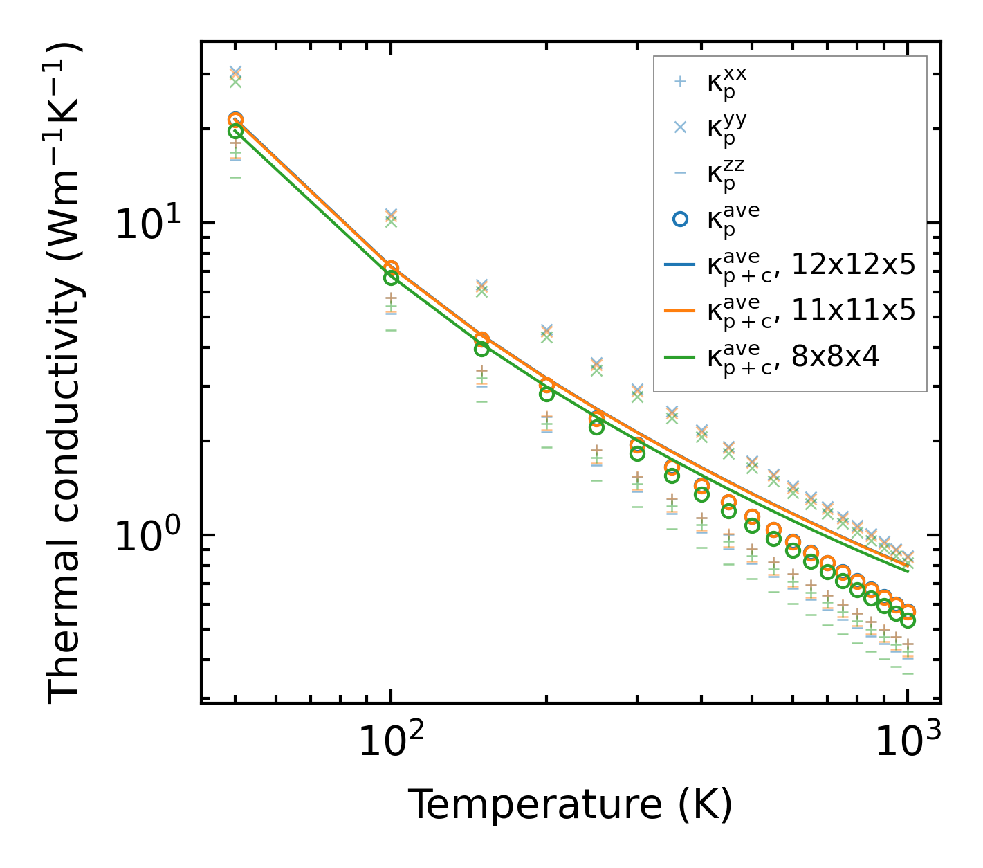
Thermal conductivity

3-phonon (LASSO) — q-mesh: 12x12x5, supercell: 1x3x1

../../_images/fig_kappa4147.png

(a) Temperature-dependent lattice thermal conductivity

../../_images/fig_kappa_vs_grain_size2197.png

(b) Peierls lattice thermal conductivity w.r.t grain size

Phonon lifetime and scattering rates

../../_images/fig_lifetime2152.png

(a) Phonon lifetime due to phonon-phonon scattering

../../_images/fig_scat_rates2151.png

(b) Phonon scattering rates

Cumulative and spectral thermal conductivity

../../_images/fig_cumu_frequency2152.png

(a) Spectral and cumulative thermal conductivity w.r.t frequency

../../_images/fig_cumu_mfp2152.png

(b) Spectral and cumulative thermal conductivity w.r.t MFP

Force constants

../../_images/fig_fc24978.png

(a) Force constants w.r.t atomic distance

Summary

../../_images/fig_kappa4148.png

(a) Temperature-dependent lattice thermal conductivity

../../_images/fig_times9297.png

(b) Computation time