mp-21836/K2In12Se19/anharm

Harmonic properties

../../_images/fig_bandos_pr13359.png

(a) Phonon dispersion with participation ratio and DOS

../../_images/fig_thermo13359.png

(b) Thermodynamic properties

Grüneisen parameters

../../_images/fig_gru_all5630.png

(a) Grüneisen parameters

../../_images/fig_gruneisen5630.png

(b) Phonon dispersion with Grüneisen parameters

Thermal conductivity

3-phonon (LASSO) — q-mesh: 5x5x5, supercell: 1x1x1

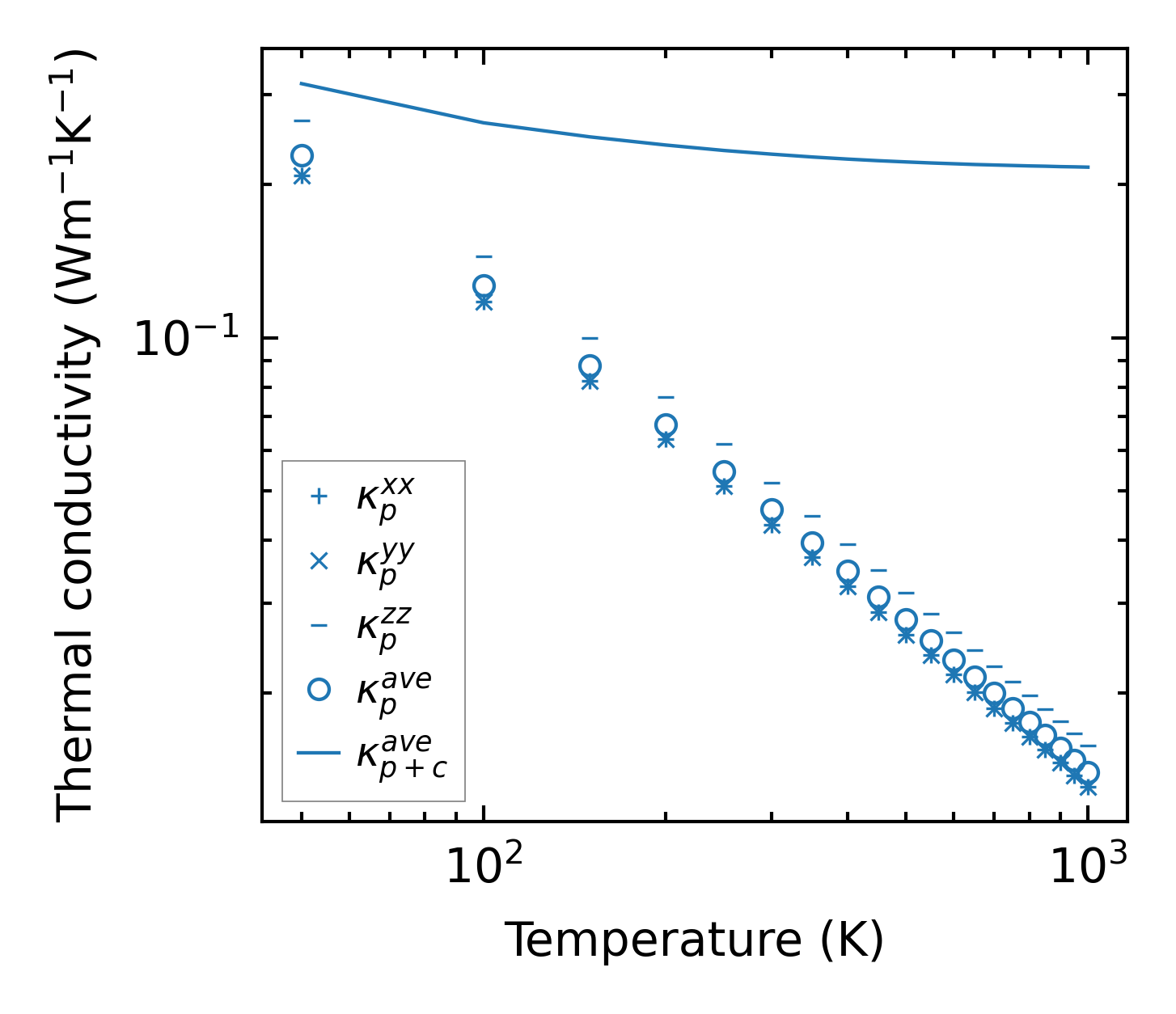
../../_images/fig_kappa10577.png

(a) Temperature-dependent lattice thermal conductivity

../../_images/fig_kappa_vs_grain_size5694.png

(b) Peierls lattice thermal conductivity w.r.t grain size

Phonon lifetime and scattering rates

../../_images/fig_lifetime5575.png

(a) Phonon lifetime due to phonon-phonon scattering

../../_images/fig_scat_rates5574.png

(b) Phonon scattering rates

Cumulative and spectral thermal conductivity

../../_images/fig_cumu_frequency5575.png

(a) Spectral and cumulative thermal conductivity w.r.t frequency

../../_images/fig_cumu_mfp5574.png

(b) Spectral and cumulative thermal conductivity w.r.t MFP

Force constants

../../_images/fig_fc212999.png

(a) Force constants w.r.t atomic distance

Summary

../../_images/fig_kappa10578.png

(a) Temperature-dependent lattice thermal conductivity

../../_images/fig_times22508.png

(b) Computation time