mp-21166/SrCaPb/anharm

Harmonic properties

../../_images/fig_bandos_pr13308.png

(a) Phonon dispersion with participation ratio and DOS

../../_images/fig_thermo13308.png

(b) Thermodynamic properties

Grüneisen parameters

../../_images/fig_gru_all5604.png

(a) Grüneisen parameters

../../_images/fig_gruneisen5604.png

(b) Phonon dispersion with Grüneisen parameters

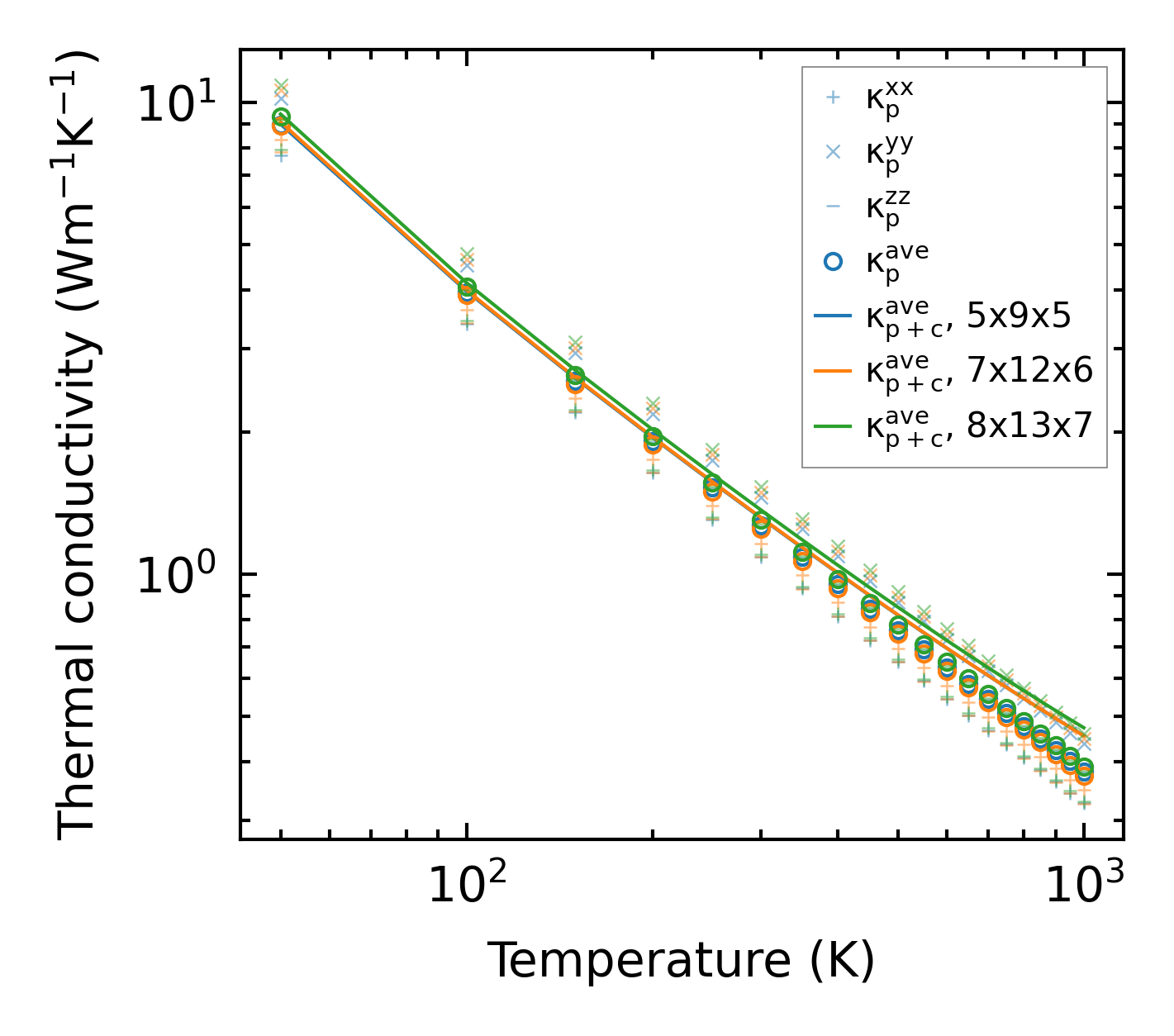
Thermal conductivity

3-phonon (LASSO) — q-mesh: 8x13x7, supercell: 2x3x2

../../_images/fig_kappa10529.png

(a) Temperature-dependent lattice thermal conductivity

../../_images/fig_kappa_vs_grain_size5668.png

(b) Peierls lattice thermal conductivity w.r.t grain size

Phonon lifetime and scattering rates

../../_images/fig_lifetime5549.png

(a) Phonon lifetime due to phonon-phonon scattering

../../_images/fig_scat_rates5548.png

(b) Phonon scattering rates

Cumulative and spectral thermal conductivity

../../_images/fig_cumu_frequency5549.png

(a) Spectral and cumulative thermal conductivity w.r.t frequency

../../_images/fig_cumu_mfp5548.png

(b) Spectral and cumulative thermal conductivity w.r.t MFP

Force constants

../../_images/fig_fc212950.png

(a) Force constants w.r.t atomic distance

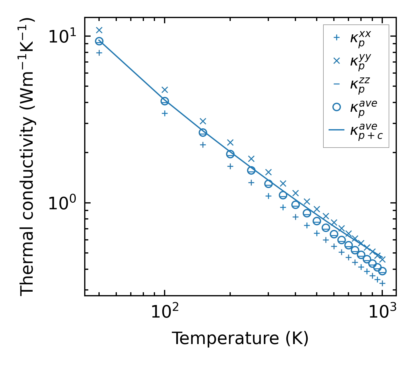
Summary

../../_images/fig_kappa10530.png

(a) Temperature-dependent lattice thermal conductivity

../../_images/fig_times22435.png

(b) Computation time