mp-21511/K2NaInP2/anharm

Harmonic properties

../../_images/fig_bandos_pr13337.png

(a) Phonon dispersion with participation ratio and DOS

../../_images/fig_thermo13337.png

(b) Thermodynamic properties

Grüneisen parameters

../../_images/fig_gru_all5617.png

(a) Grüneisen parameters

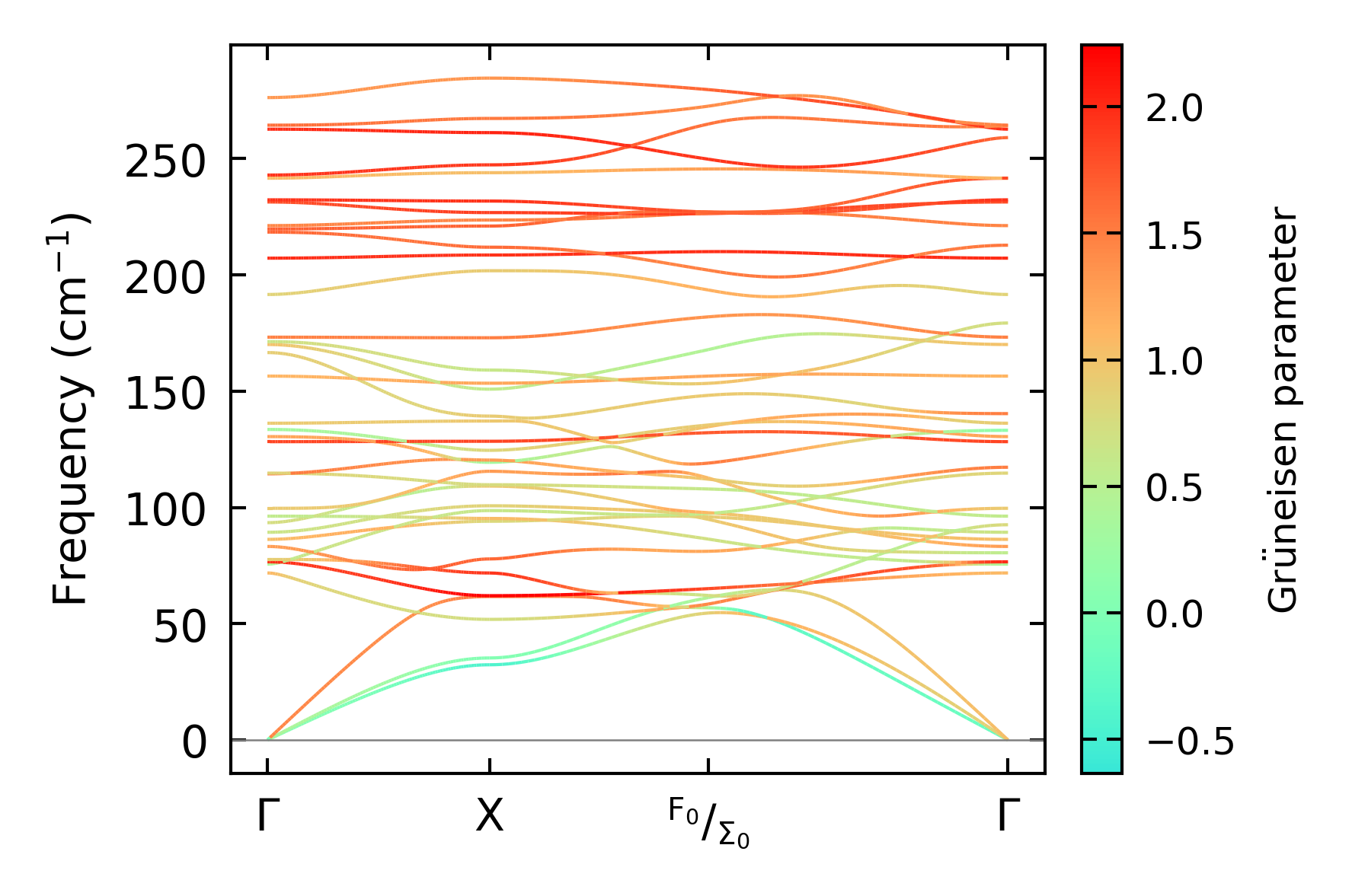
../../_images/fig_gruneisen5617.png

(b) Phonon dispersion with Grüneisen parameters

Thermal conductivity

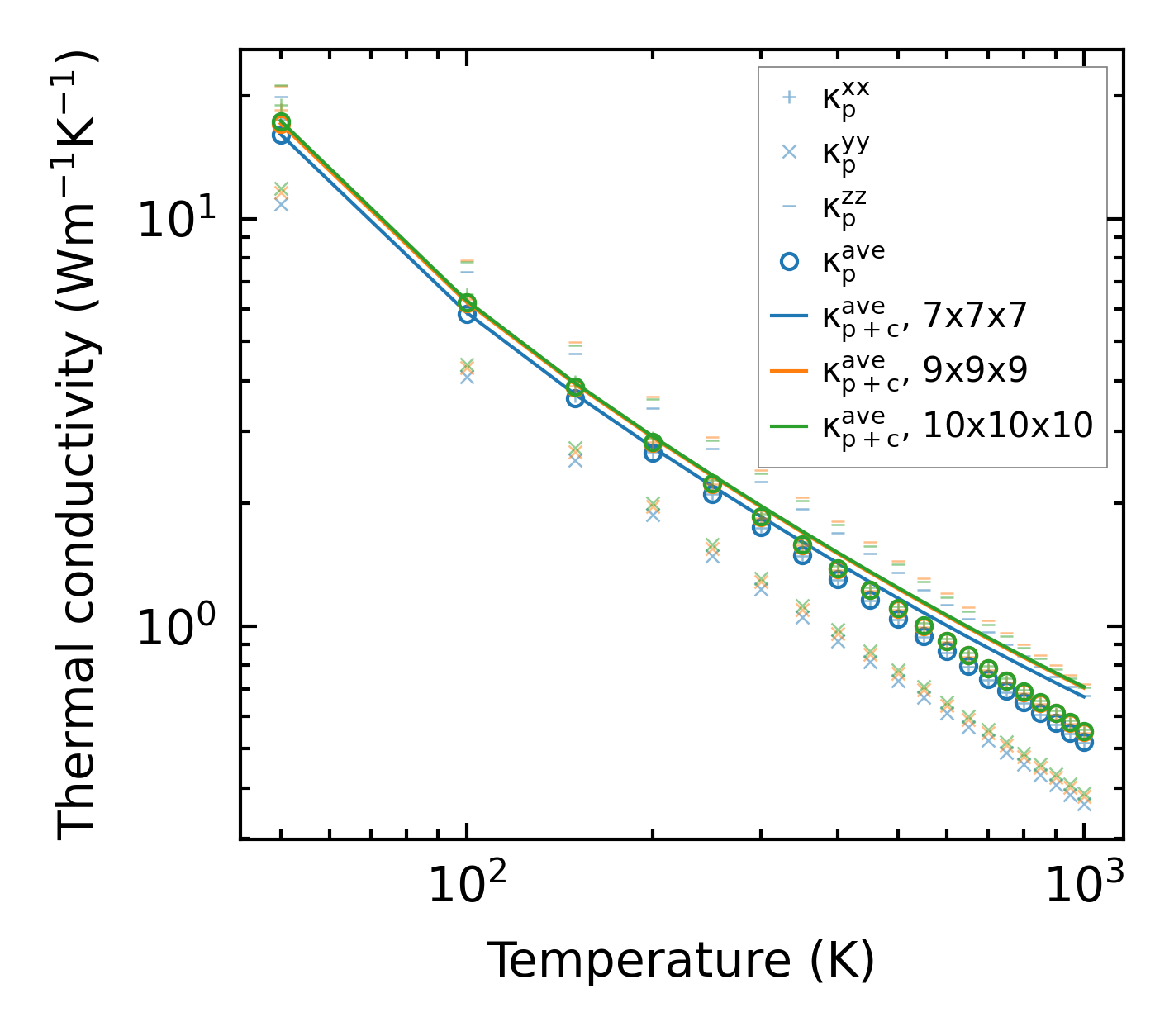
3-phonon (LASSO) — q-mesh: 10x10x10, supercell: 3x1x2

../../_images/fig_kappa10552.png

(a) Temperature-dependent lattice thermal conductivity

../../_images/fig_kappa_vs_grain_size5681.png

(b) Peierls lattice thermal conductivity w.r.t grain size

Phonon lifetime and scattering rates

../../_images/fig_lifetime5562.png

(a) Phonon lifetime due to phonon-phonon scattering

../../_images/fig_scat_rates5561.png

(b) Phonon scattering rates

Cumulative and spectral thermal conductivity

../../_images/fig_cumu_frequency5562.png

(a) Spectral and cumulative thermal conductivity w.r.t frequency

../../_images/fig_cumu_mfp5561.png

(b) Spectral and cumulative thermal conductivity w.r.t MFP

Force constants

../../_images/fig_fc212977.png

(a) Force constants w.r.t atomic distance

Summary

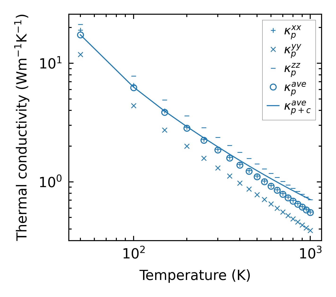
../../_images/fig_kappa10553.png

(a) Temperature-dependent lattice thermal conductivity

../../_images/fig_times22473.png

(b) Computation time