mp-21835-2/Cs2In2Sb3/anharm

Equation of state

../../_images/fig_bm6673.png

(a) Equation of state

Harmonic properties

../../_images/fig_bandos_pr13358.png

(a) Phonon dispersion with participation ratio and DOS

../../_images/fig_thermo13358.png

(b) Thermodynamic properties

Grüneisen parameters

../../_images/fig_gru_all5629.png

(a) Grüneisen parameters

../../_images/fig_gruneisen5629.png

(b) Phonon dispersion with Grüneisen parameters

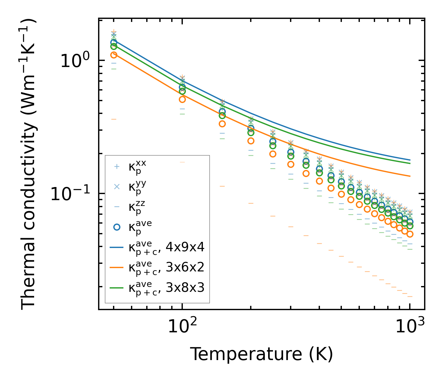
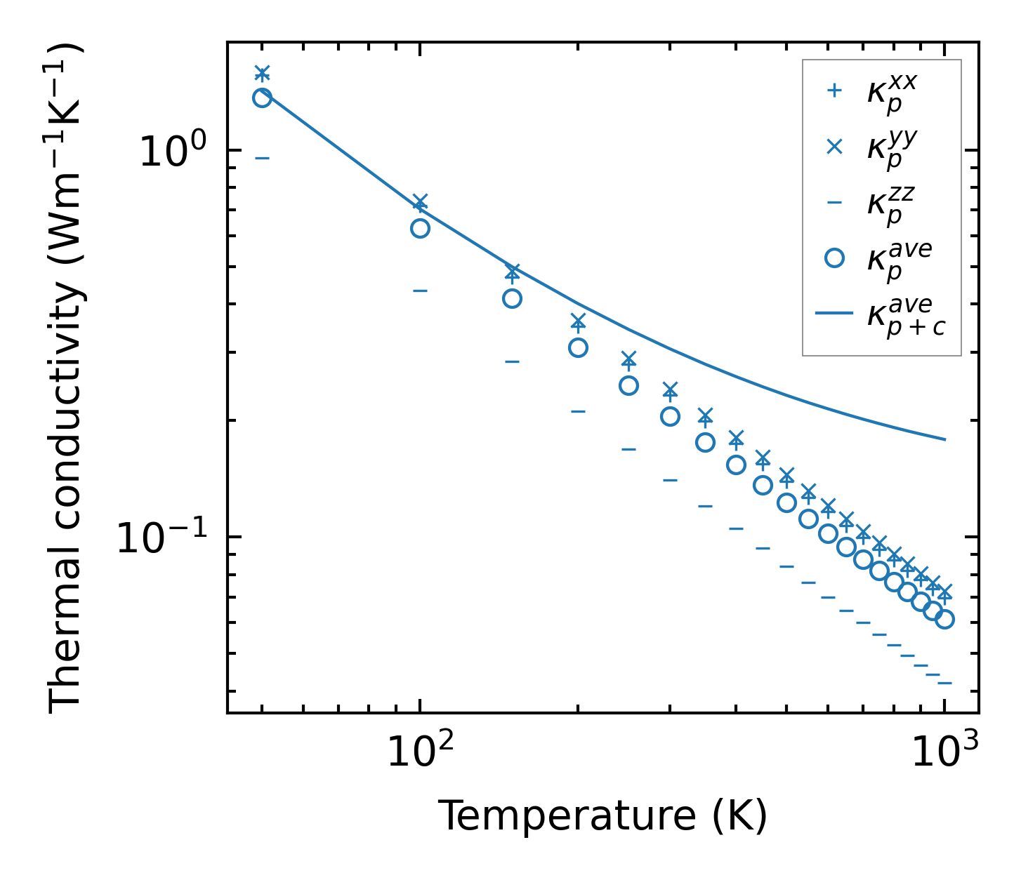
Thermal conductivity

3-phonon (LASSO) — q-mesh: 4x9x4, supercell: 1x2x1

../../_images/fig_kappa10575.png

(a) Temperature-dependent lattice thermal conductivity

../../_images/fig_kappa_vs_grain_size5693.png

(b) Peierls lattice thermal conductivity w.r.t grain size

Phonon lifetime and scattering rates

../../_images/fig_lifetime5574.png

(a) Phonon lifetime due to phonon-phonon scattering

../../_images/fig_scat_rates5573.png

(b) Phonon scattering rates

Cumulative and spectral thermal conductivity

../../_images/fig_cumu_frequency5574.png

(a) Spectral and cumulative thermal conductivity w.r.t frequency

../../_images/fig_cumu_mfp5573.png

(b) Spectral and cumulative thermal conductivity w.r.t MFP

Force constants

../../_images/fig_fc212998.png

(a) Force constants w.r.t atomic distance

Summary

../../_images/fig_kappa10576.png

(a) Temperature-dependent lattice thermal conductivity

../../_images/fig_times22507.png

(b) Computation time