mp-21497/Pb2SO5/harm

Equation of state

../../_images/fig_bm6661.png

(a) Equation of state

Harmonic properties

../../_images/fig_bandos_pr13335.png

(a) Phonon dispersion with participation ratio and DOS

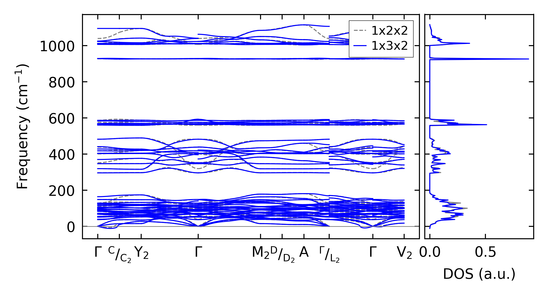
../../_images/fig_bandos17696.png

(b) Phonon dispersion and DOS

../../_images/fig_thermo13335.png

(c) Thermodynamic properties

Force constants

../../_images/fig_fc212975.png

(a) Force constants w.r.t atomic distance

Summary

../../_images/fig_times22471.png

(a) Computation time