mp-21604/Sm3InS6/anharm

Harmonic properties

../../_images/fig_bandos_pr13345.png

(a) Phonon dispersion with participation ratio and DOS

../../_images/fig_thermo13345.png

(b) Thermodynamic properties

Grüneisen parameters

../../_images/fig_gru_all5622.png

(a) Grüneisen parameters

../../_images/fig_gruneisen5622.png

(b) Phonon dispersion with Grüneisen parameters

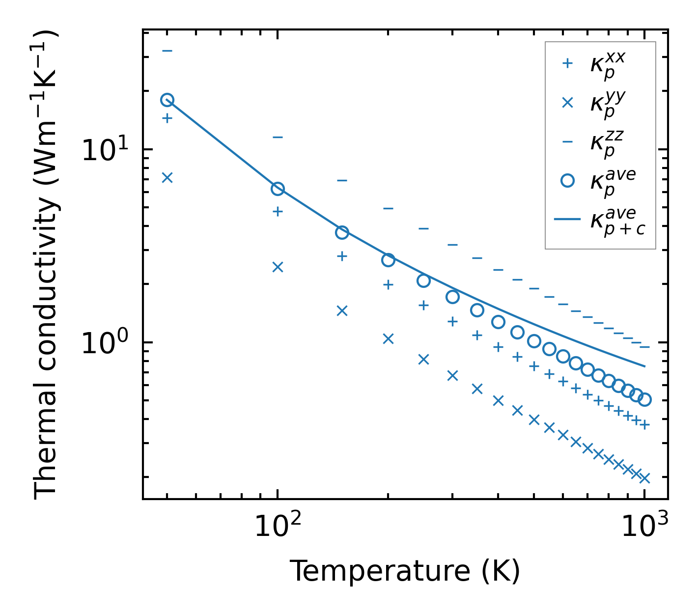
Thermal conductivity

3-phonon (LASSO) — q-mesh: 5x4x18, supercell: 1x1x3

../../_images/fig_kappa10562.png

(a) Temperature-dependent lattice thermal conductivity

../../_images/fig_kappa_vs_grain_size5686.png

(b) Peierls lattice thermal conductivity w.r.t grain size

Phonon lifetime and scattering rates

../../_images/fig_lifetime5567.png

(a) Phonon lifetime due to phonon-phonon scattering

../../_images/fig_scat_rates5566.png

(b) Phonon scattering rates

Cumulative and spectral thermal conductivity

../../_images/fig_cumu_frequency5567.png

(a) Spectral and cumulative thermal conductivity w.r.t frequency

../../_images/fig_cumu_mfp5566.png

(b) Spectral and cumulative thermal conductivity w.r.t MFP

Force constants

../../_images/fig_fc212985.png

(a) Force constants w.r.t atomic distance

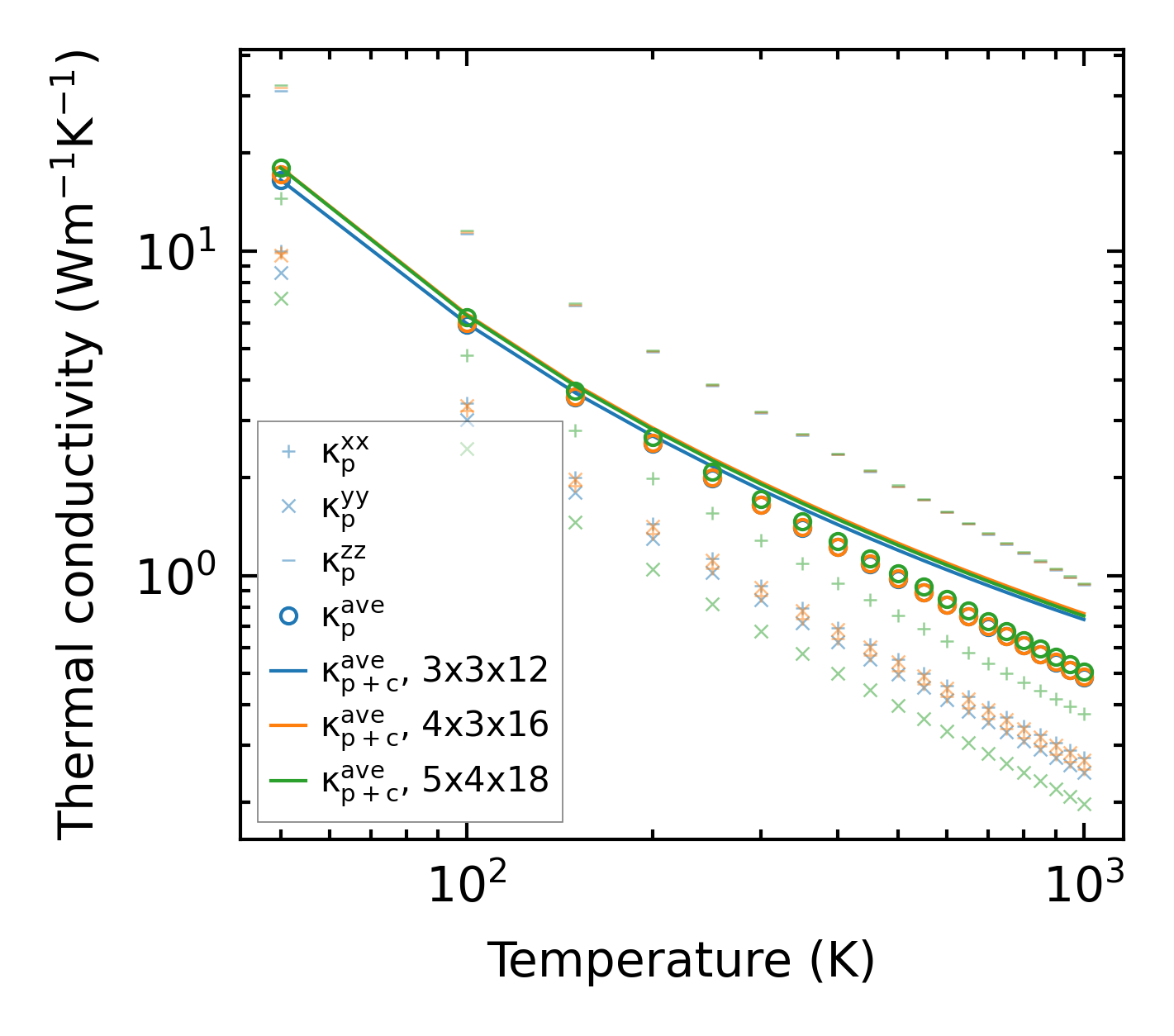
Summary

../../_images/fig_kappa10563.png

(a) Temperature-dependent lattice thermal conductivity

../../_images/fig_times22487.png

(b) Computation time