mp-21282-2/Na2SO3/anharm

Equation of state

../../_images/fig_bm6651.png

(a) Equation of state

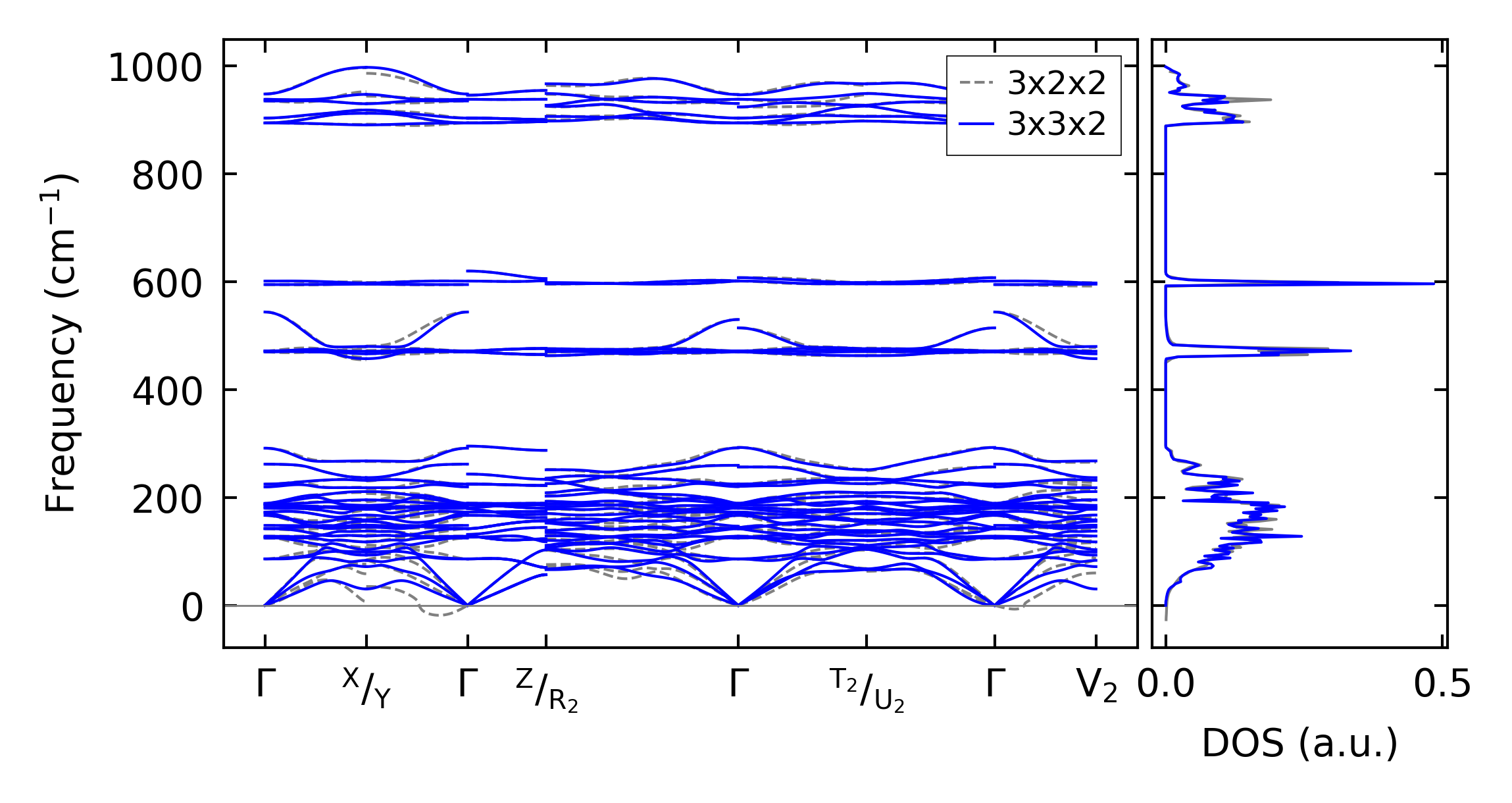
Harmonic properties

../../_images/fig_bandos_pr13320.png

(a) Phonon dispersion with participation ratio and DOS

../../_images/fig_bandos17677.png

(b) Phonon dispersion and DOS

../../_images/fig_thermo13320.png

(c) Thermodynamic properties

Grüneisen parameters

../../_images/fig_gru_all5612.png

(a) Grüneisen parameters

../../_images/fig_gruneisen5612.png

(b) Phonon dispersion with Grüneisen parameters

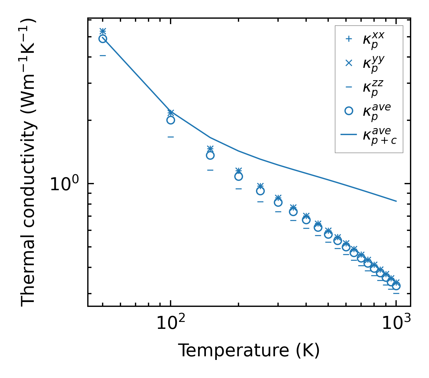
Thermal conductivity

3-phonon (LASSO), supercell 3x3x2 — q-mesh: 13x13x12, supercell: 3x3x2

../../_images/fig_kappa10544.png

(a) Temperature-dependent lattice thermal conductivity

../../_images/fig_kappa_vs_grain_size5676.png

(b) Peierls lattice thermal conductivity w.r.t grain size

Phonon lifetime and scattering rates

../../_images/fig_lifetime5557.png

(a) Phonon lifetime due to phonon-phonon scattering

../../_images/fig_scat_rates5556.png

(b) Phonon scattering rates

Cumulative and spectral thermal conductivity

../../_images/fig_cumu_frequency5557.png

(a) Spectral and cumulative thermal conductivity w.r.t frequency

../../_images/fig_cumu_mfp5556.png

(b) Spectral and cumulative thermal conductivity w.r.t MFP

Force constants

../../_images/fig_fc212960.png

(a) Force constants w.r.t atomic distance

Summary

../../_images/fig_times22450.png

(a) Computation time