mp-21705-2/K2In3AgSe6/anharm

Equation of state

../../_images/fig_bm6670.png

(a) Equation of state

Harmonic properties

../../_images/fig_bandos_pr13350.png

(a) Phonon dispersion with participation ratio and DOS

../../_images/fig_thermo13350.png

(b) Thermodynamic properties

Grüneisen parameters

../../_images/fig_gru_all5625.png

(a) Grüneisen parameters

../../_images/fig_gruneisen5625.png

(b) Phonon dispersion with Grüneisen parameters

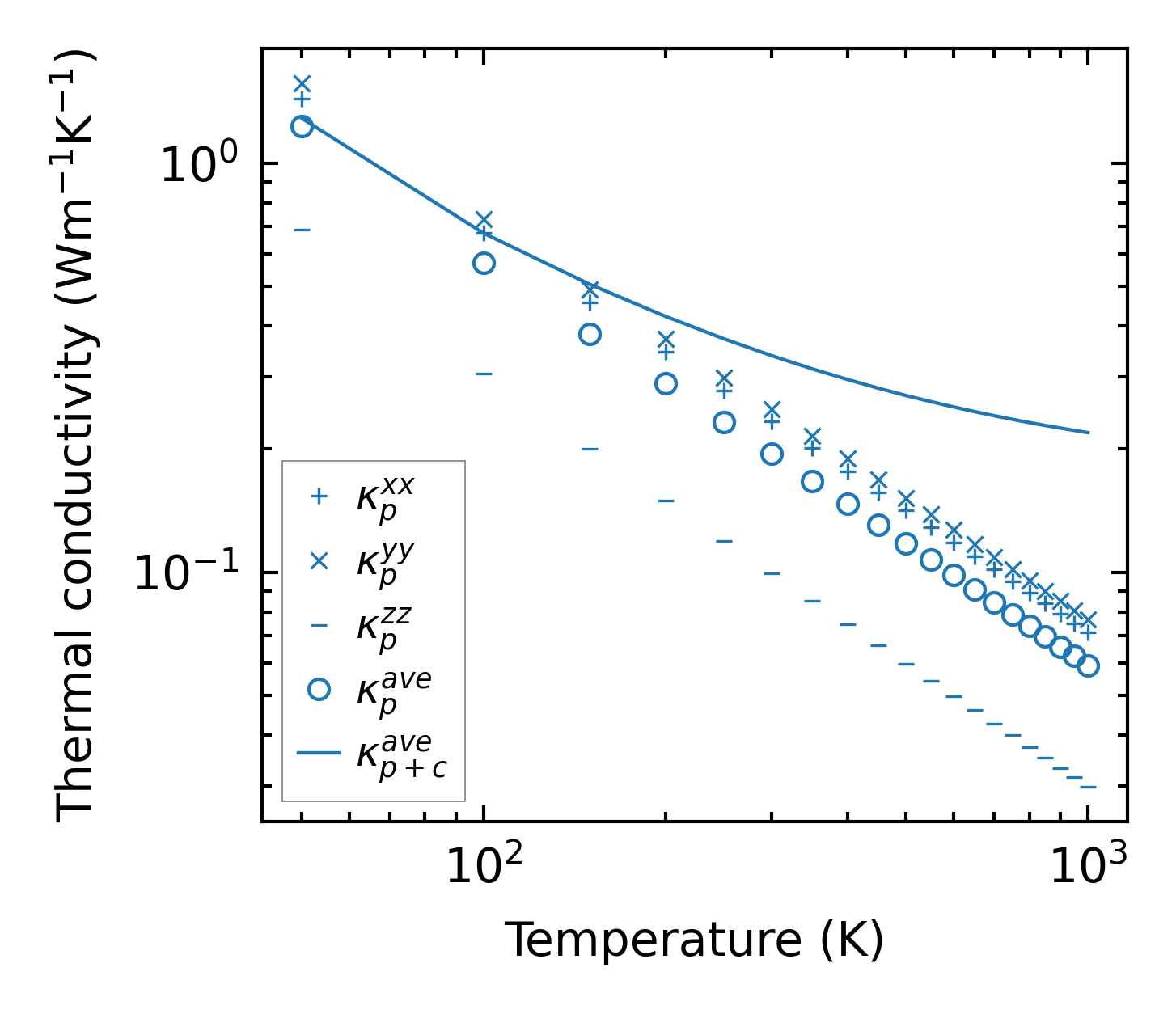
Thermal conductivity

3-phonon (LASSO) — q-mesh: 8x8x3, supercell: 1x1x1

../../_images/fig_kappa10567.png

(a) Temperature-dependent lattice thermal conductivity

../../_images/fig_kappa_vs_grain_size5689.png

(b) Peierls lattice thermal conductivity w.r.t grain size

Phonon lifetime and scattering rates

../../_images/fig_lifetime5570.png

(a) Phonon lifetime due to phonon-phonon scattering

../../_images/fig_scat_rates5569.png

(b) Phonon scattering rates

Cumulative and spectral thermal conductivity

../../_images/fig_cumu_frequency5570.png

(a) Spectral and cumulative thermal conductivity w.r.t frequency

../../_images/fig_cumu_mfp5569.png

(b) Spectral and cumulative thermal conductivity w.r.t MFP

Force constants

../../_images/fig_fc212990.png

(a) Force constants w.r.t atomic distance

Summary

../../_images/fig_kappa10568.png

(a) Temperature-dependent lattice thermal conductivity

../../_images/fig_times22497.png

(b) Computation time