mp-21526/KPb/anharm

Harmonic properties

../../_images/fig_bandos_pr13340.png

(a) Phonon dispersion with participation ratio and DOS

../../_images/fig_thermo13340.png

(b) Thermodynamic properties

Grüneisen parameters

../../_images/fig_gru_all5619.png

(a) Grüneisen parameters

../../_images/fig_gruneisen5619.png

(b) Phonon dispersion with Grüneisen parameters

Thermal conductivity

3-phonon (LASSO) — q-mesh: 6x6x6, supercell: 1x1x1

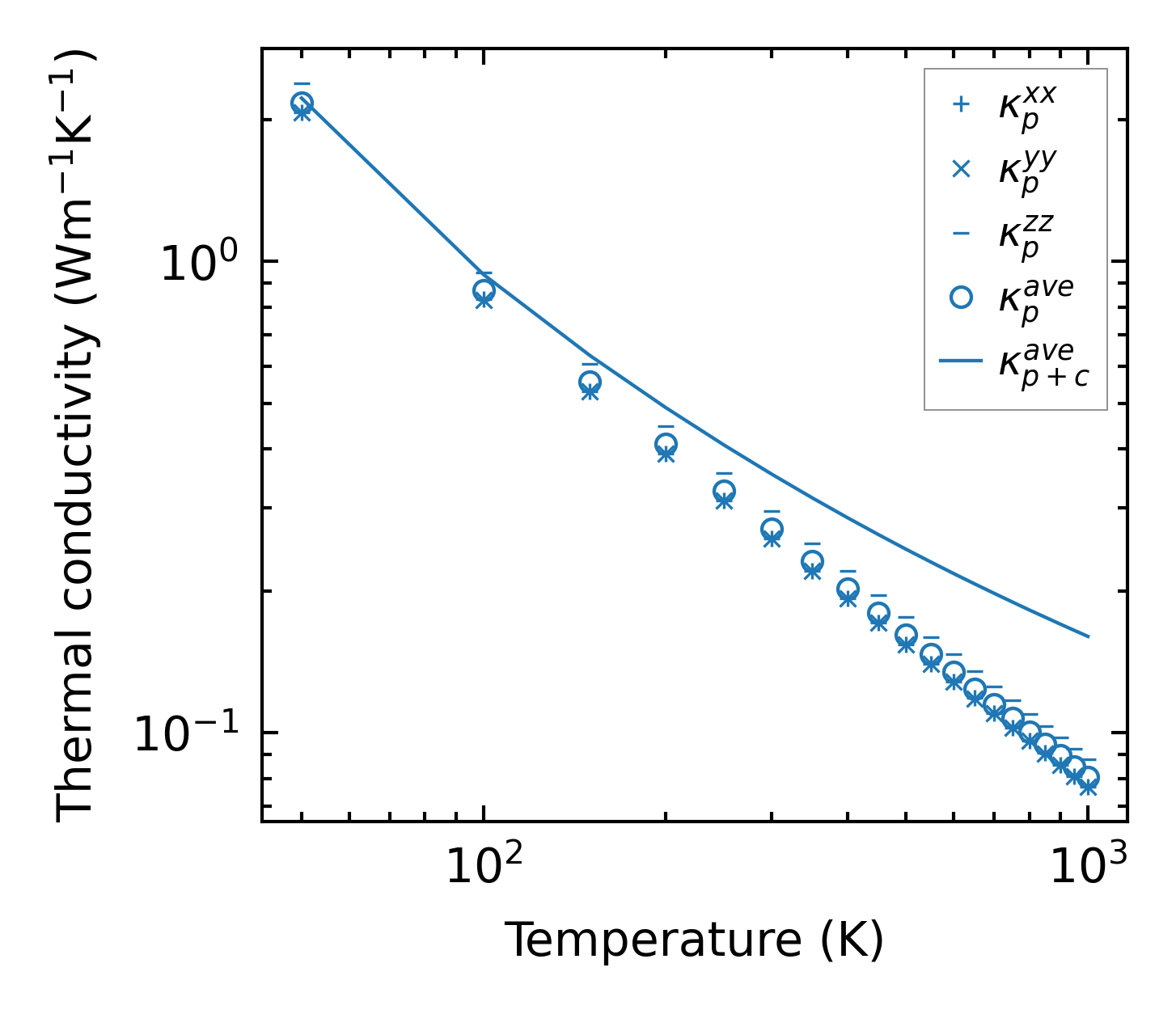
../../_images/fig_kappa10556.png

(a) Temperature-dependent lattice thermal conductivity

../../_images/fig_kappa_vs_grain_size5683.png

(b) Peierls lattice thermal conductivity w.r.t grain size

Phonon lifetime and scattering rates

../../_images/fig_lifetime5564.png

(a) Phonon lifetime due to phonon-phonon scattering

../../_images/fig_scat_rates5563.png

(b) Phonon scattering rates

Cumulative and spectral thermal conductivity

../../_images/fig_cumu_frequency5564.png

(a) Spectral and cumulative thermal conductivity w.r.t frequency

../../_images/fig_cumu_mfp5563.png

(b) Spectral and cumulative thermal conductivity w.r.t MFP

Force constants

../../_images/fig_fc212980.png

(a) Force constants w.r.t atomic distance

Summary

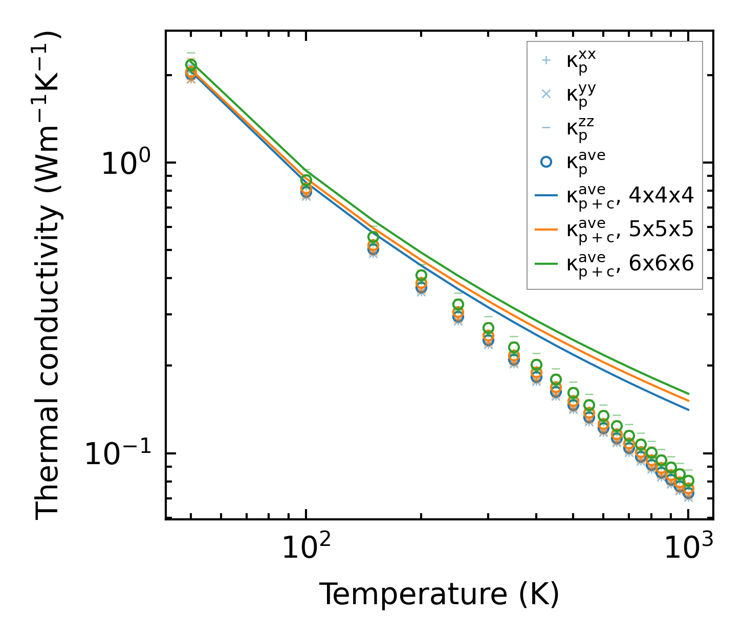
../../_images/fig_kappa10557.png

(a) Temperature-dependent lattice thermal conductivity

../../_images/fig_times22476.png

(b) Computation time