mp-1227998/AlSiCN/anharm

Harmonic properties

../../_images/fig_bandos_pr15136.png

(a) Phonon dispersion with participation ratio and DOS

../../_images/fig_thermo15135.png

(b) Thermodynamic properties

Grüneisen parameters

../../_images/fig_gru_all6495.png

(a) Grüneisen parameters

../../_images/fig_gruneisen6495.png

(b) Phonon dispersion with Grüneisen parameters

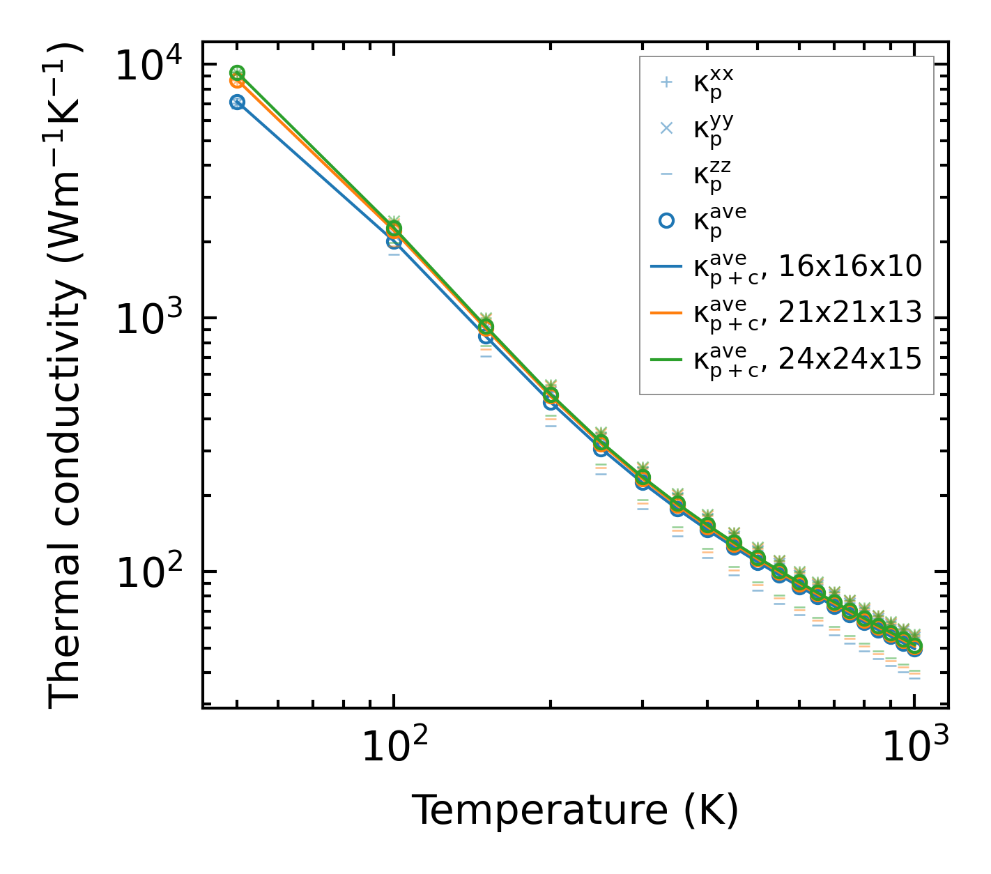
Thermal conductivity

3-phonon (LASSO) — q-mesh: 24x24x15, supercell: 4x4x2

../../_images/fig_kappa12220.png

(a) Temperature-dependent lattice thermal conductivity

../../_images/fig_kappa_vs_grain_size6572.png

(b) Peierls lattice thermal conductivity w.r.t grain size

Phonon lifetime and scattering rates

../../_images/fig_lifetime6429.png

(a) Phonon lifetime due to phonon-phonon scattering

../../_images/fig_scat_rates6428.png

(b) Phonon scattering rates

Cumulative and spectral thermal conductivity

../../_images/fig_cumu_frequency6429.png

(a) Spectral and cumulative thermal conductivity w.r.t frequency

../../_images/fig_cumu_mfp6428.png

(b) Spectral and cumulative thermal conductivity w.r.t MFP

Force constants

../../_images/fig_fc214751.png

(a) Force constants w.r.t atomic distance

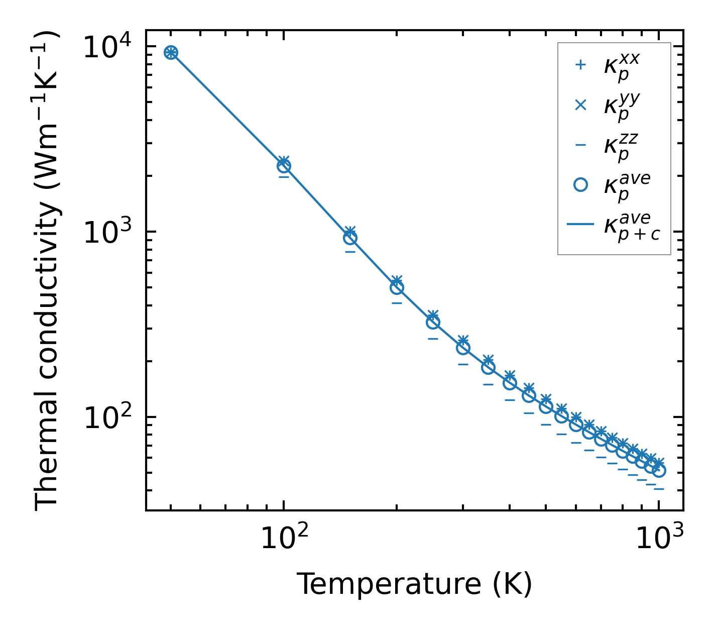
Summary

../../_images/fig_kappa12221.png

(a) Temperature-dependent lattice thermal conductivity

../../_images/fig_times25050.png

(b) Computation time