mp-1227041/CaNdAlO4/anharm

Harmonic properties

../../_images/fig_bandos_pr15101.png

(a) Phonon dispersion with participation ratio and DOS

../../_images/fig_thermo15100.png

(b) Thermodynamic properties

Grüneisen parameters

../../_images/fig_gru_all6482.png

(a) Grüneisen parameters

../../_images/fig_gruneisen6482.png

(b) Phonon dispersion with Grüneisen parameters

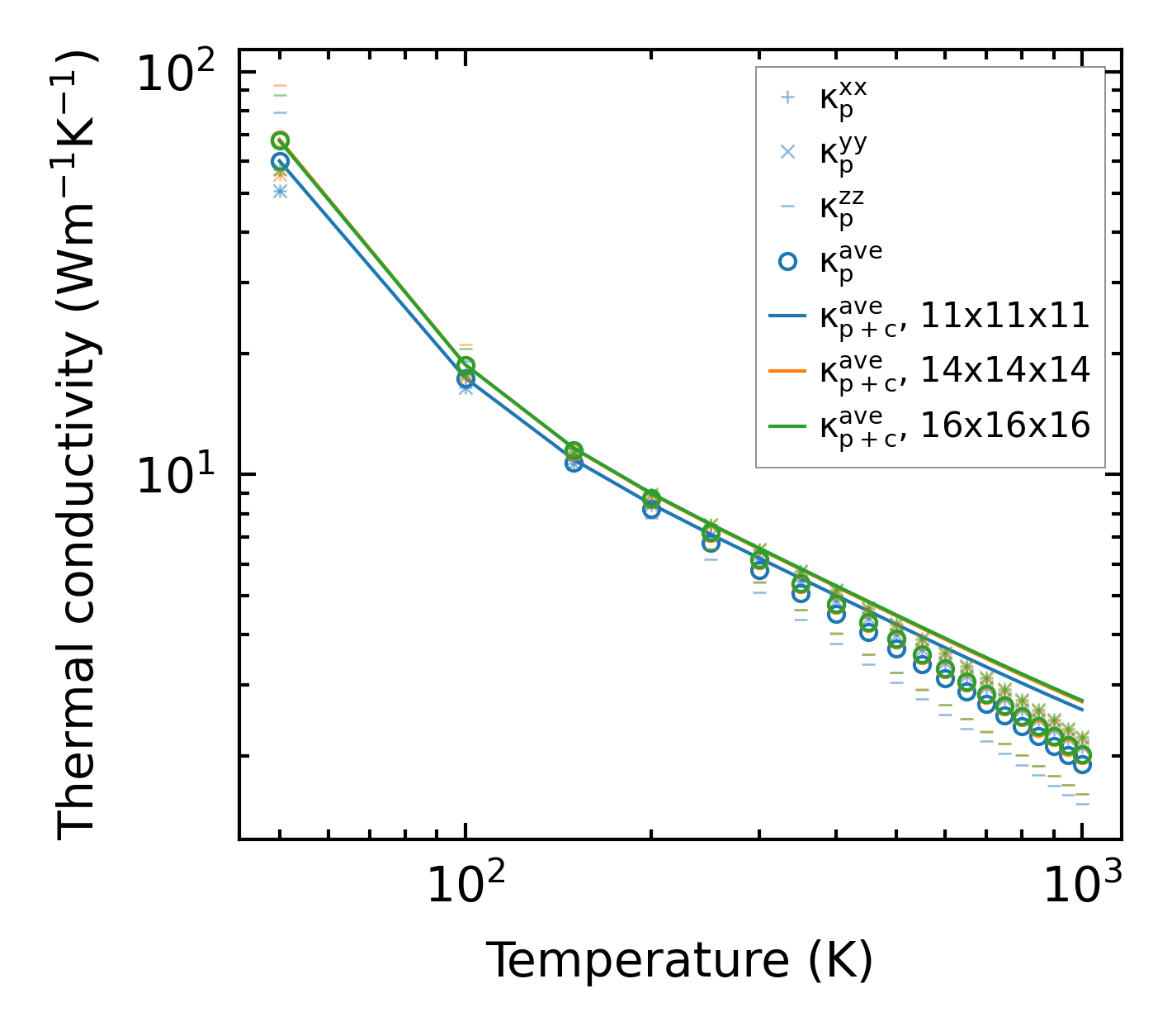
Thermal conductivity

3-phonon (LASSO) — q-mesh: 16x16x16, supercell: 3x3x1

../../_images/fig_kappa12194.png

(a) Temperature-dependent lattice thermal conductivity

../../_images/fig_kappa_vs_grain_size6559.png

(b) Peierls lattice thermal conductivity w.r.t grain size

Phonon lifetime and scattering rates

../../_images/fig_lifetime6416.png

(a) Phonon lifetime due to phonon-phonon scattering

../../_images/fig_scat_rates6415.png

(b) Phonon scattering rates

Cumulative and spectral thermal conductivity

../../_images/fig_cumu_frequency6416.png

(a) Spectral and cumulative thermal conductivity w.r.t frequency

../../_images/fig_cumu_mfp6415.png

(b) Spectral and cumulative thermal conductivity w.r.t MFP

Force constants

../../_images/fig_fc214717.png

(a) Force constants w.r.t atomic distance

Summary

../../_images/fig_kappa12195.png

(a) Temperature-dependent lattice thermal conductivity

../../_images/fig_times24996.png

(b) Computation time