mp-1227052/CaHF/anharm

Harmonic properties

../../_images/fig_bandos_pr15103.png

(a) Phonon dispersion with participation ratio and DOS

../../_images/fig_thermo15102.png

(b) Thermodynamic properties

Grüneisen parameters

../../_images/fig_gru_all6483.png

(a) Grüneisen parameters

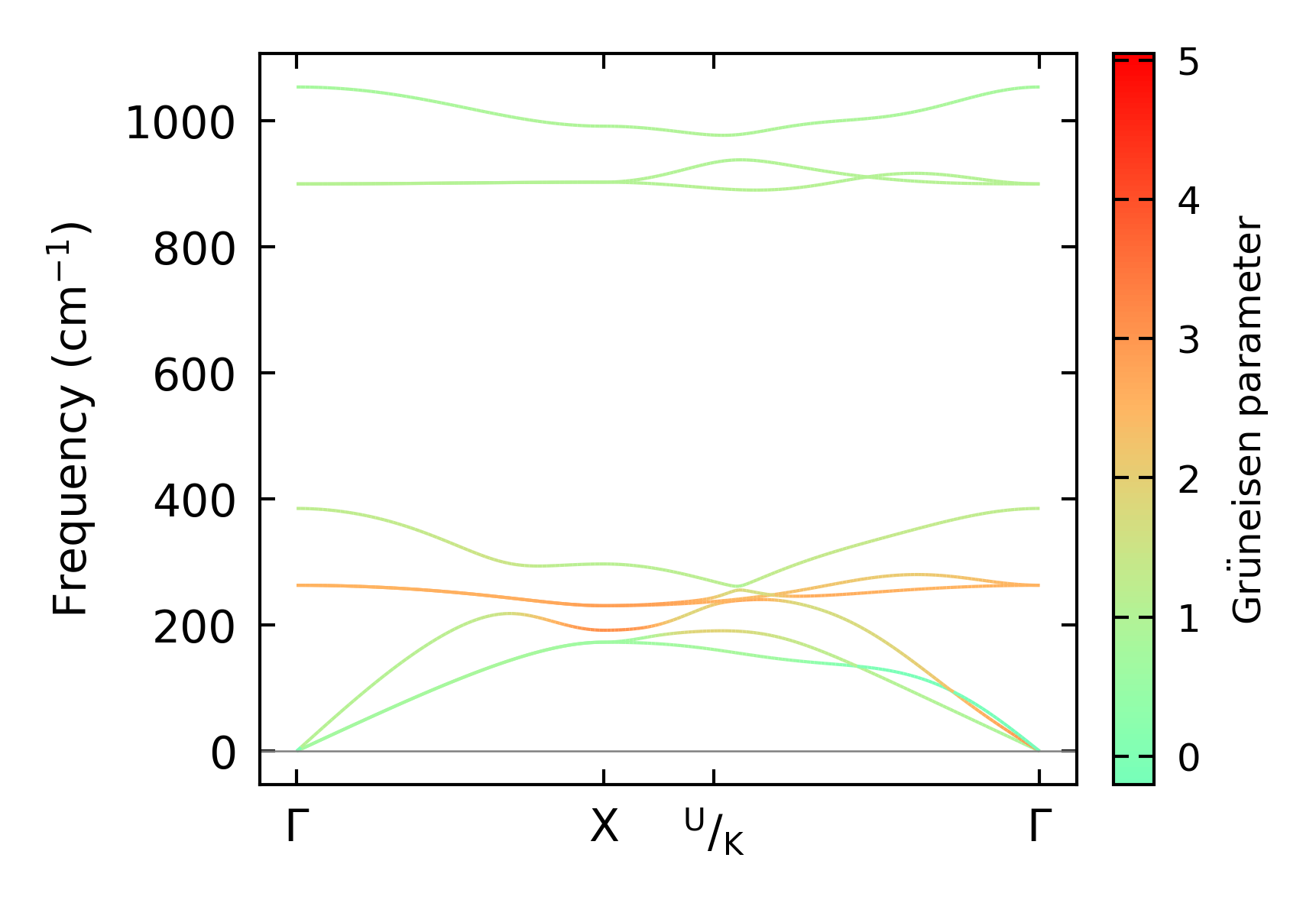
../../_images/fig_gruneisen6483.png

(b) Phonon dispersion with Grüneisen parameters

Thermal conductivity

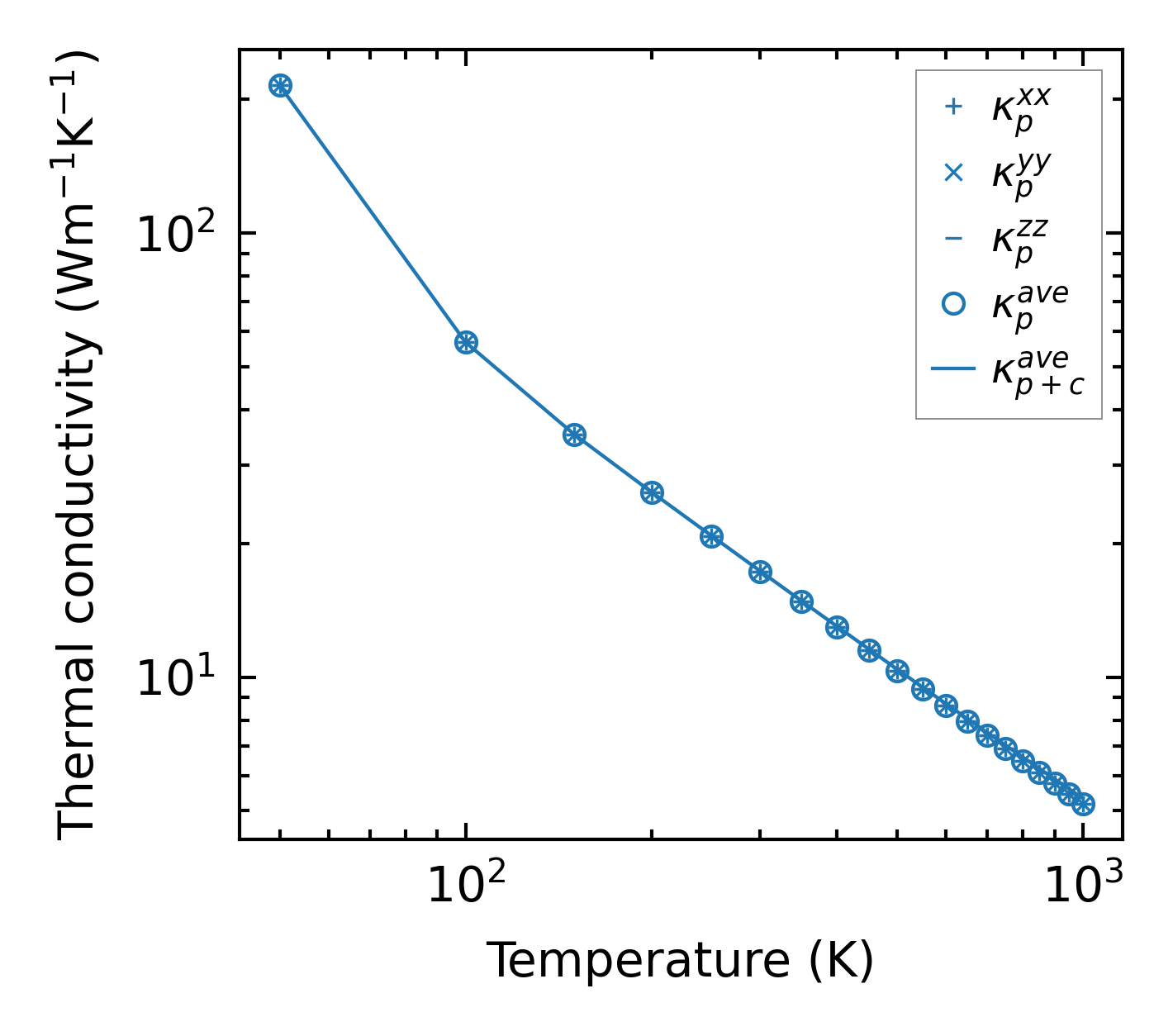
3-phonon — q-mesh: 21x21x21, supercell: 2x2x2

../../_images/fig_kappa12196.png

(a) Temperature-dependent lattice thermal conductivity

../../_images/fig_kappa_vs_grain_size6560.png

(b) Peierls lattice thermal conductivity w.r.t grain size

Phonon lifetime and scattering rates

../../_images/fig_lifetime6417.png

(a) Phonon lifetime due to phonon-phonon scattering

../../_images/fig_scat_rates6416.png

(b) Phonon scattering rates

Cumulative and spectral thermal conductivity

../../_images/fig_cumu_frequency6417.png

(a) Spectral and cumulative thermal conductivity w.r.t frequency

../../_images/fig_cumu_mfp6416.png

(b) Spectral and cumulative thermal conductivity w.r.t MFP

Force constants

../../_images/fig_fc3385.png

(a) Force constants w.r.t atomic distance

Summary

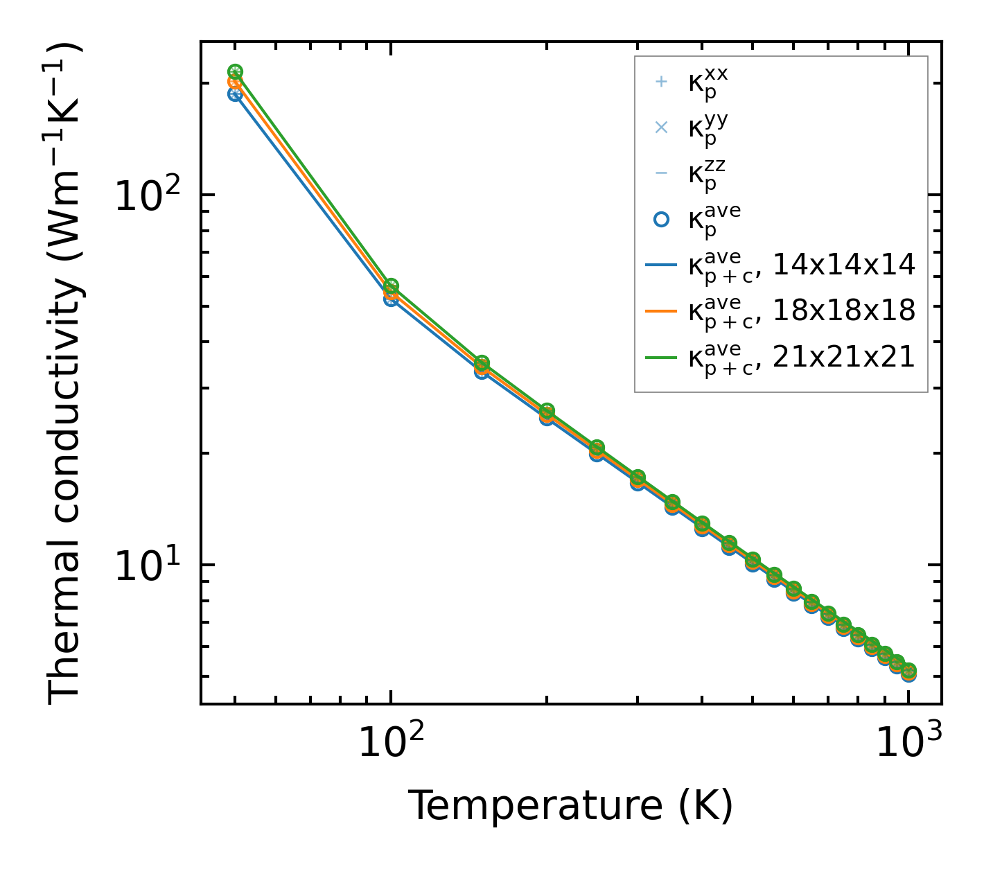
../../_images/fig_kappa12197.png

(a) Temperature-dependent lattice thermal conductivity

../../_images/fig_times24998.png

(b) Computation time