mp-1227338/Be3ZnO4/anharm

Harmonic properties

../../_images/fig_bandos_pr15117.png

(a) Phonon dispersion with participation ratio and DOS

../../_images/fig_thermo15116.png

(b) Thermodynamic properties

Grüneisen parameters

../../_images/fig_gru_all6490.png

(a) Grüneisen parameters

../../_images/fig_gruneisen6490.png

(b) Phonon dispersion with Grüneisen parameters

Thermal conductivity

3-phonon (LASSO) — q-mesh: 18x18x18, supercell: 2x2x2

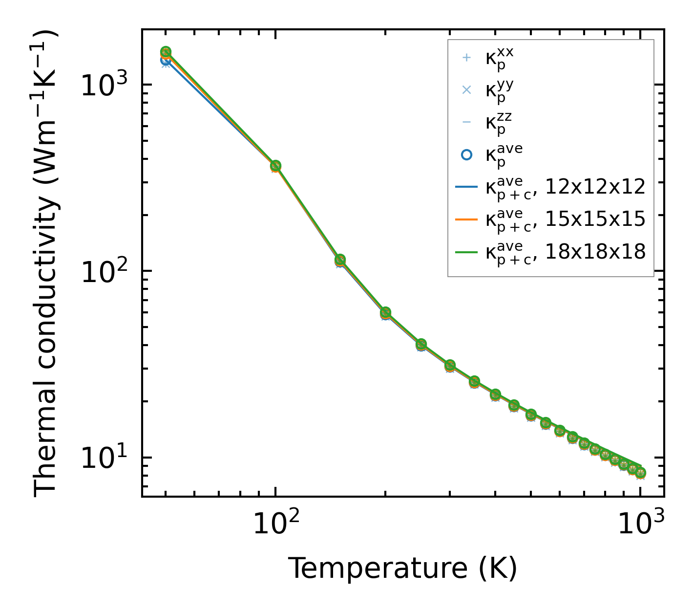
../../_images/fig_kappa12210.png

(a) Temperature-dependent lattice thermal conductivity

../../_images/fig_kappa_vs_grain_size6567.png

(b) Peierls lattice thermal conductivity w.r.t grain size

Phonon lifetime and scattering rates

../../_images/fig_lifetime6424.png

(a) Phonon lifetime due to phonon-phonon scattering

../../_images/fig_scat_rates6423.png

(b) Phonon scattering rates

Cumulative and spectral thermal conductivity

../../_images/fig_cumu_frequency6424.png

(a) Spectral and cumulative thermal conductivity w.r.t frequency

../../_images/fig_cumu_mfp6423.png

(b) Spectral and cumulative thermal conductivity w.r.t MFP

Force constants

../../_images/fig_fc214732.png

(a) Force constants w.r.t atomic distance

Summary

../../_images/fig_kappa12211.png

(a) Temperature-dependent lattice thermal conductivity

../../_images/fig_times25018.png

(b) Computation time