mp-1227236/CaCd3O4/anharm

Harmonic properties

../../_images/fig_bandos_pr15109.png

(a) Phonon dispersion with participation ratio and DOS

../../_images/fig_thermo15108.png

(b) Thermodynamic properties

Grüneisen parameters

../../_images/fig_gru_all6485.png

(a) Grüneisen parameters

../../_images/fig_gruneisen6485.png

(b) Phonon dispersion with Grüneisen parameters

Thermal conductivity

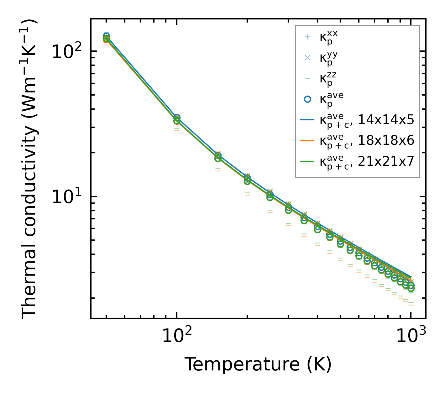
3-phonon (LASSO) — q-mesh: 21x21x7, supercell: 3x3x2

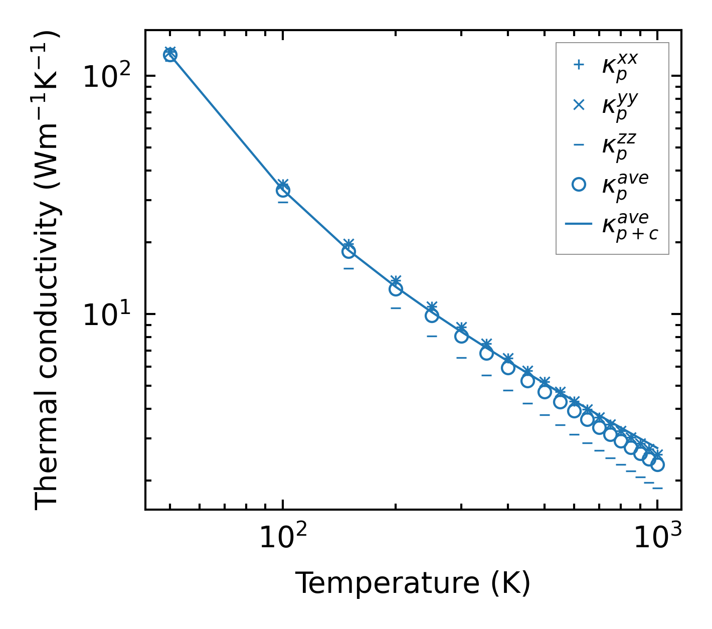
../../_images/fig_kappa12200.png

(a) Temperature-dependent lattice thermal conductivity

../../_images/fig_kappa_vs_grain_size6562.png

(b) Peierls lattice thermal conductivity w.r.t grain size

Phonon lifetime and scattering rates

../../_images/fig_lifetime6419.png

(a) Phonon lifetime due to phonon-phonon scattering

../../_images/fig_scat_rates6418.png

(b) Phonon scattering rates

Cumulative and spectral thermal conductivity

../../_images/fig_cumu_frequency6419.png

(a) Spectral and cumulative thermal conductivity w.r.t frequency

../../_images/fig_cumu_mfp6418.png

(b) Spectral and cumulative thermal conductivity w.r.t MFP

Force constants

../../_images/fig_fc214724.png

(a) Force constants w.r.t atomic distance

Summary

../../_images/fig_kappa12201.png

(a) Temperature-dependent lattice thermal conductivity

../../_images/fig_times25006.png

(b) Computation time