mp-1227309/BeSiN2/anharm

Harmonic properties

../../_images/fig_bandos_pr15112.png

(a) Phonon dispersion with participation ratio and DOS

../../_images/fig_thermo15111.png

(b) Thermodynamic properties

Grüneisen parameters

../../_images/fig_gru_all6486.png

(a) Grüneisen parameters

../../_images/fig_gruneisen6486.png

(b) Phonon dispersion with Grüneisen parameters

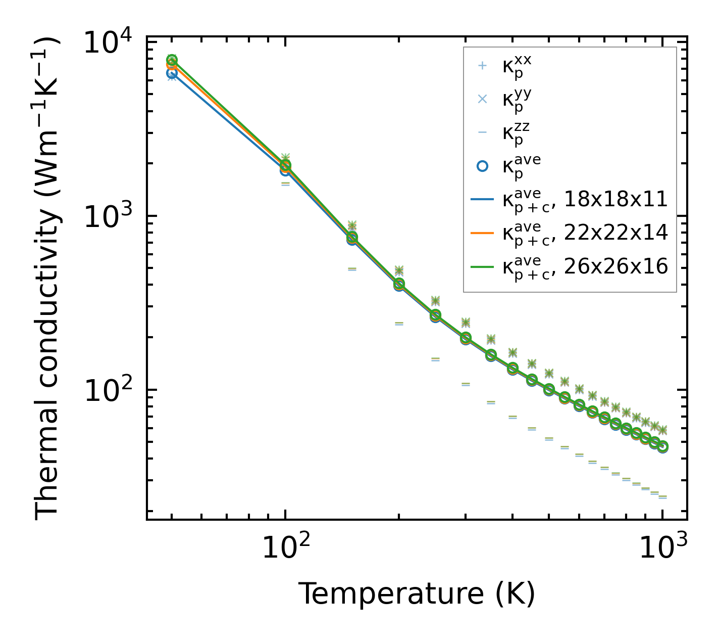
Thermal conductivity

3-phonon (LASSO) — q-mesh: 26x26x16, supercell: 4x4x2

../../_images/fig_kappa12202.png

(a) Temperature-dependent lattice thermal conductivity

../../_images/fig_kappa_vs_grain_size6563.png

(b) Peierls lattice thermal conductivity w.r.t grain size

Phonon lifetime and scattering rates

../../_images/fig_lifetime6420.png

(a) Phonon lifetime due to phonon-phonon scattering

../../_images/fig_scat_rates6419.png

(b) Phonon scattering rates

Cumulative and spectral thermal conductivity

../../_images/fig_cumu_frequency6420.png

(a) Spectral and cumulative thermal conductivity w.r.t frequency

../../_images/fig_cumu_mfp6419.png

(b) Spectral and cumulative thermal conductivity w.r.t MFP

Force constants

../../_images/fig_fc214727.png

(a) Force constants w.r.t atomic distance

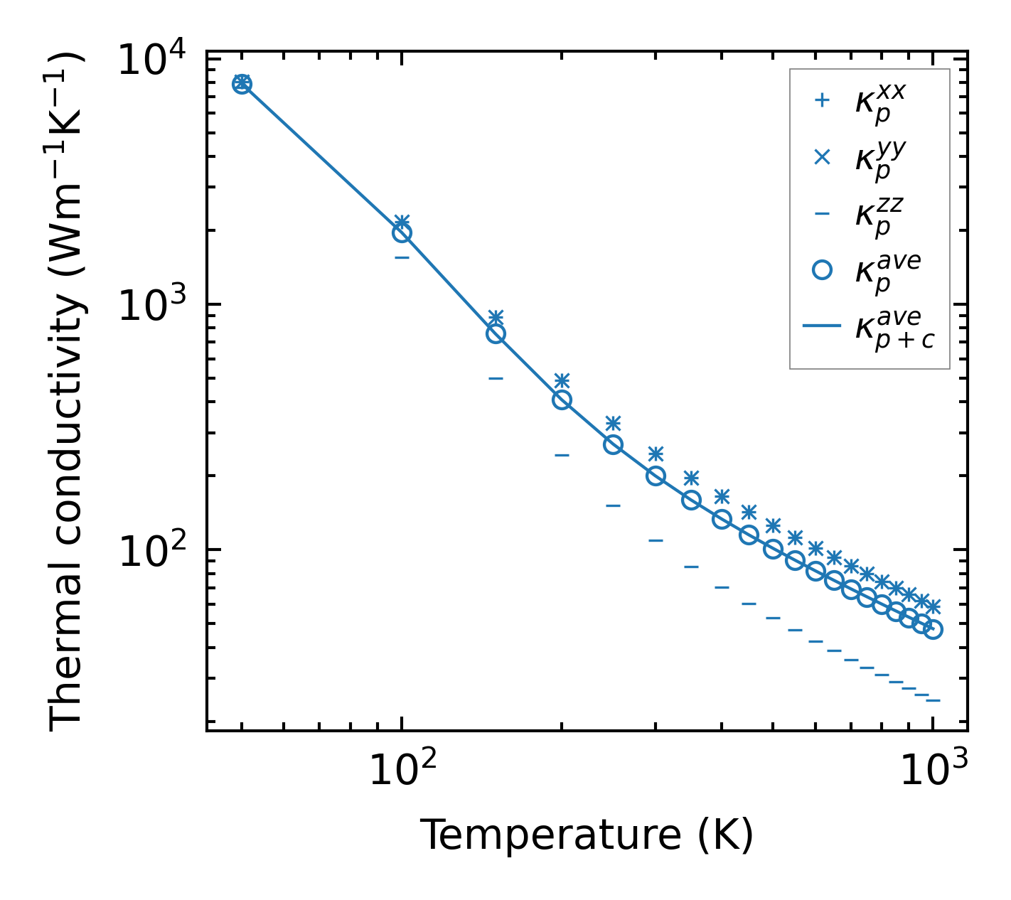
Summary

../../_images/fig_kappa12203.png

(a) Temperature-dependent lattice thermal conductivity

../../_images/fig_times25011.png

(b) Computation time