mp-1227340/BiSbTe3/anharm

Harmonic properties

../../_images/fig_bandos_pr15118.png

(a) Phonon dispersion with participation ratio and DOS

../../_images/fig_thermo15117.png

(b) Thermodynamic properties

Grüneisen parameters

../../_images/fig_gru_all6491.png

(a) Grüneisen parameters

../../_images/fig_gruneisen6491.png

(b) Phonon dispersion with Grüneisen parameters

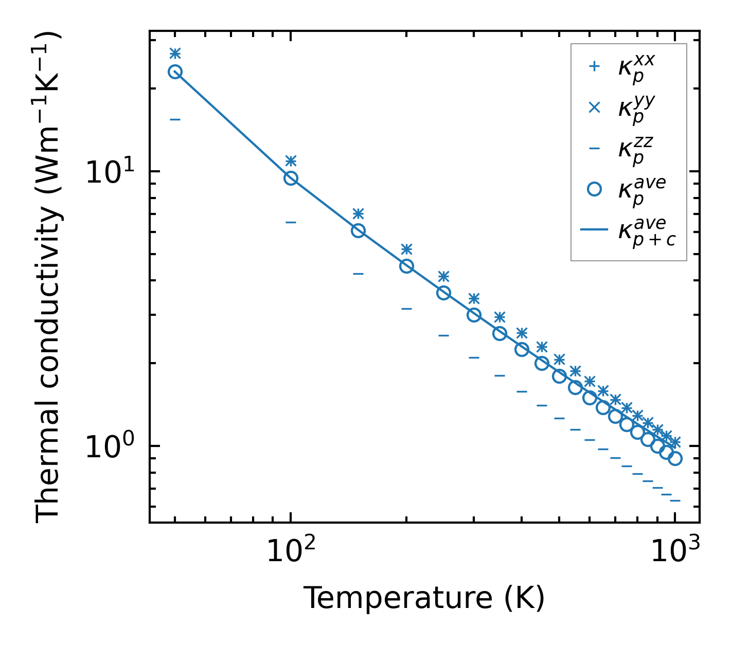
Thermal conductivity

3-phonon (LASSO) — q-mesh: 13x13x13, supercell: 3x3x1

../../_images/fig_kappa12212.png

(a) Temperature-dependent lattice thermal conductivity

../../_images/fig_kappa_vs_grain_size6568.png

(b) Peierls lattice thermal conductivity w.r.t grain size

Phonon lifetime and scattering rates

../../_images/fig_lifetime6425.png

(a) Phonon lifetime due to phonon-phonon scattering

../../_images/fig_scat_rates6424.png

(b) Phonon scattering rates

Cumulative and spectral thermal conductivity

../../_images/fig_cumu_frequency6425.png

(a) Spectral and cumulative thermal conductivity w.r.t frequency

../../_images/fig_cumu_mfp6424.png

(b) Spectral and cumulative thermal conductivity w.r.t MFP

Force constants

../../_images/fig_fc214733.png

(a) Force constants w.r.t atomic distance

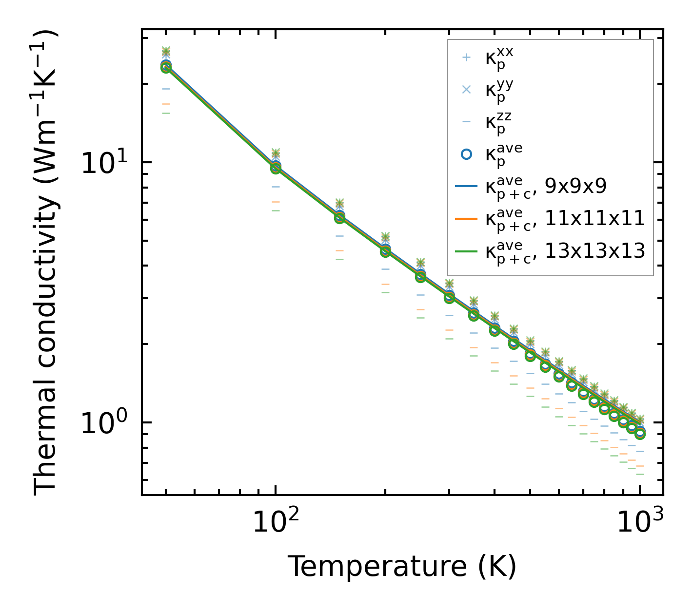
Summary

../../_images/fig_kappa12213.png

(a) Temperature-dependent lattice thermal conductivity

../../_images/fig_times25019.png

(b) Computation time