mp-1227112/CaPb3Se4/anharm

Harmonic properties

../../_images/fig_bandos_pr15108.png

(a) Phonon dispersion with participation ratio and DOS

../../_images/fig_thermo15107.png

(b) Thermodynamic properties

Grüneisen parameters

../../_images/fig_gru_all6484.png

(a) Grüneisen parameters

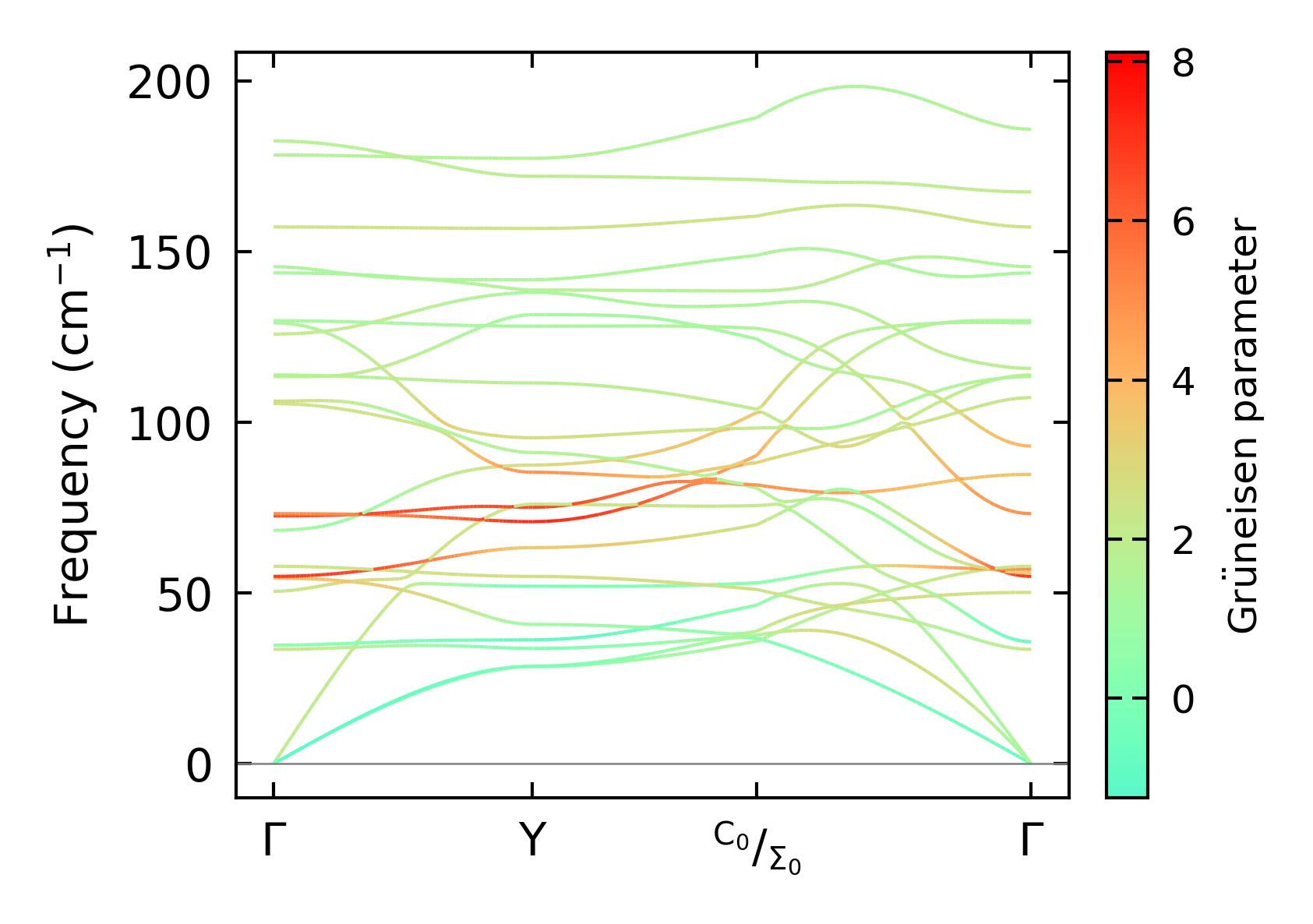
../../_images/fig_gruneisen6484.png

(b) Phonon dispersion with Grüneisen parameters

Thermal conductivity

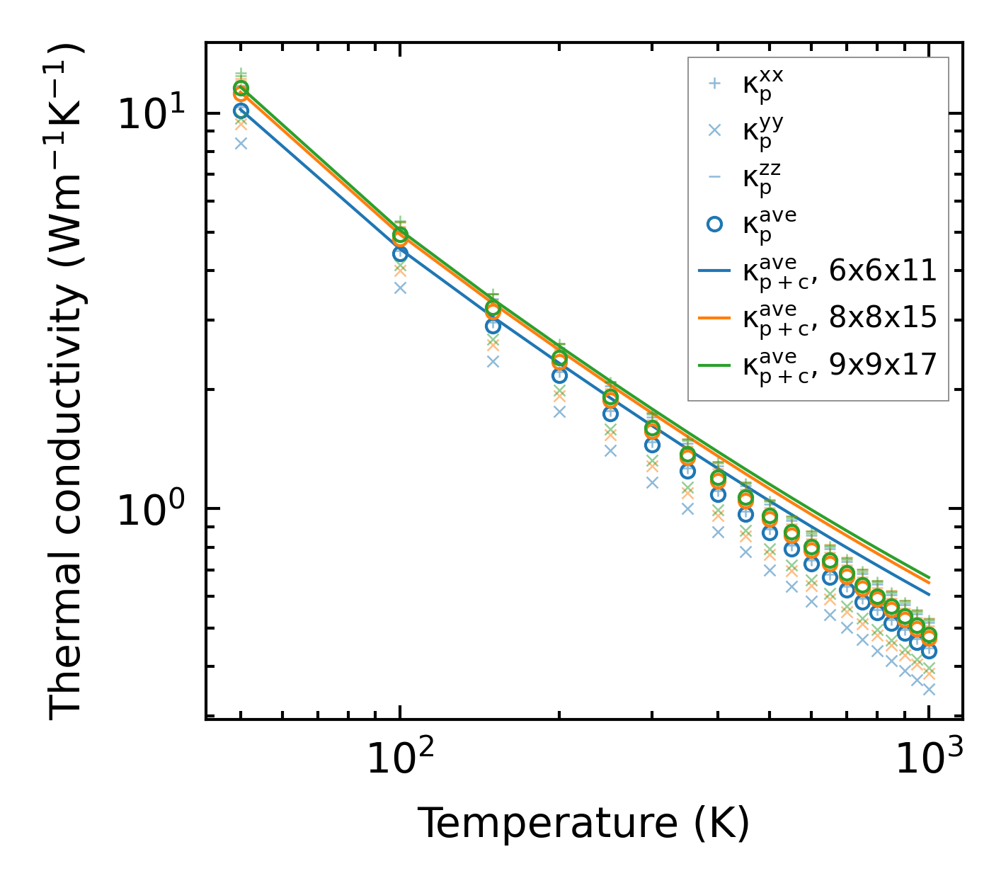
3-phonon (LASSO) — q-mesh: 9x9x17, supercell: 2x1x3

../../_images/fig_kappa12198.png

(a) Temperature-dependent lattice thermal conductivity

../../_images/fig_kappa_vs_grain_size6561.png

(b) Peierls lattice thermal conductivity w.r.t grain size

Phonon lifetime and scattering rates

../../_images/fig_lifetime6418.png

(a) Phonon lifetime due to phonon-phonon scattering

../../_images/fig_scat_rates6417.png

(b) Phonon scattering rates

Cumulative and spectral thermal conductivity

../../_images/fig_cumu_frequency6418.png

(a) Spectral and cumulative thermal conductivity w.r.t frequency

../../_images/fig_cumu_mfp6417.png

(b) Spectral and cumulative thermal conductivity w.r.t MFP

Force constants

../../_images/fig_fc214723.png

(a) Force constants w.r.t atomic distance

Summary

../../_images/fig_kappa12199.png

(a) Temperature-dependent lattice thermal conductivity

../../_images/fig_times25003.png

(b) Computation time